Deutsch
Zeit: 2025/03/30
Durchsuchen: 6,559

Die gesamte harmonische Verzerrung oder THD misst, wie stark sich ein elektrisches Signal durch ein System ändert.Dies ist eine Möglichkeit zu bewerten, wie genau ein Gerät Signale umgeht, insbesondere in hochpräzisen Anwendungen wie Audiogeräten oder empfindliche Elektronik.
Im Konzept sollte ein sauberes elektrisches Signal - üblicherweise wie eine glatte Sinuswelle geformt - vom Eingang bis zur Ausgabe gleich bleiben.Aber in der Praxis passiert das selten.Wenn sich das Signal durch Schaltungen und Komponenten bewegt, trifft es Unvollkommenheiten.Widerstände, Kondensatoren, Transistoren und andere Teile können subtile Verschiebungen einführen.Diese Teile reagieren möglicherweise nicht perfekt, insbesondere wenn es um unterschiedliche Spannungen oder Lasten geht.Infolgedessen werden zusätzliche Frequenzen - die Harmonischen - zum ursprünglichen Signal hinzugefügt.Diese Harmonischen sind mehrfach der Hauptfrequenz und waren zunächst nicht da.Sie verändern die Form der Wellenform, wodurch sie von der ursprünglichen Sinuswelle abweicht.THD misst, wie stark diese zusätzlichen Frequenzen mit der Festigkeit der Hauptfrequenz verglichen werden.
Wenn THD niedrig ist, bedeutet dies, dass das Signal mit minimaler Verzerrung größtenteils intakt geblieben ist.Aber wenn die THD hoch ist, wurde das Signal erheblich verändert.Dies kann die Leistung beeinträchtigen, insbesondere in Systemen, in denen Klarheit und Genauigkeit verwendet werden.Wenn Sie THD verstehen, können Sie Systeme entwerfen und bewerten, um sicherzustellen, dass sie eine saubere, treue Signalreproduktion liefern.
Periodische elektrische Signale - wie Spannung oder Strom - bestehen aus grundlegenden Bausteinen, die als Frequenzen bezeichnet werden.Das wichtigste von diesen ist die ultimative Frequenz, die den primären Rhythmus oder den Zyklus der Wellenform festlegt.Harmonische sind zusätzliche Frequenzkomponenten, die über diese Basis gelegt werden.Sie treten bei Multiplikatoren der ultimativen Frequenz auf Vollnummer auf.Diese Aufteilung eines komplexen Signals in einen Satz einfacher Sinuswellen wird durch eine Methode, die als Fourier -Analyse bezeichnet wird, beschrieben.
In einem idealen Fall könnte eine Wellenform perfekt glatt sein - eine reine Sinuswelle.Diese Art von Signal enthält nur die ultimative Frequenz und sonst nichts.Da keine zusätzlichen Frequenzen vorhanden sind, gibt es keine harmonische Verzerrung.
Signale bleiben selten in Wirklichkeit so sauber.Als elektrischer Strom fließt durch ein System mit verschiedenen Komponenten - Resistenten, Kondensatoren, Schalter und Lasten.Diese Wechselwirkungen sind oft unvollkommen.Leichte Verzögerungen, nichtlineares Verhalten oder unregelmäßige Belastung können die Form des Signals verzerren.Diese Verzerrungen werden als zusätzliche harmonische Frequenzen angezeigt, die sich nicht im ursprünglichen Signal befanden.

Abbildung 2. eine sinusförmige Spannung und eine Quadratwellenspannung in der Zeitdomäne
Je mehr ein Signal von der sauberen Sinuswelle abfällt, desto mehr Harmonische enthält es.Diese zusätzlichen Frequenzen machen die Wellenform gezackter oder komplexer, und das Signal wird zunehmend verzerrt.Die Stärke und Anzahl dieser Harmonischen geben ein klarer Hinweis darauf, wie weit die Wellenform von ihrer idealen Form abgewichen ist.
Um besser zu verstehen, wie dies funktioniert, stellen Sie sich zwei Wellenformen vor, die nebeneinander angezeigt werden.Einer ist eine reine Sinuswelle - glatt, kontinuierlich und regelmäßig.Die andere ist eine quadratische Welle - schärf, eckig und hoch strukturiert.In der Zeitdomäne ist der Unterschied offensichtlich: Die Quadratwelle sieht viel abrupter aus.Stellen Sie sich nun vor, Sie betrachten dieselben Signale in der Frequenzdomäne, in denen jede Frequenzkomponente als separater Spitze angezeigt wird.Die Sinuswelle zeigt nur einen Spike, der ihre einzelne Frequenz darstellt.Die Quadratwelle hat dagegen viele Spikes - die Form ist aus mehreren Harmonischen auf der Basisfrequenz gebaut.

Abbildung 3. Sinus -Spannung und eine Quadratwellenspannung in der Frequenzdomäne
Diese visuellen Unterschiede zeigen, wie sich Harmonische ein Signal auswirken.Wenn zu viele Harmonische vorhanden sind, verliert die Wellenform ihre Klarheit.Diese Art der Verzerrung kann zu einer verringerten Leistung oder fehlerhaften Messwerden für Systeme führen, die auf präziser Signalreproduktion beruhen - wie Audioverstärker oder Kontrollsysteme.
Aus diesem Grund können Sie Messungen wie Total Harmonic Distortion (THD) verwenden.THD gibt eine klare Zahl an, die widerspiegelt, wie viel die Leistung eines Signals von unerwünschten harmonischen Inhalten herrührt.Es hilft zu bestimmen, ob ein Signal nahe an seiner idealen Form bleibt oder ob es auf eine Weise verändert wurde, die die Systemleistung beeinträchtigen könnte.
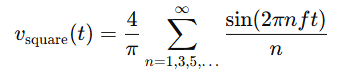
Die gesamte harmonische Verzerrung (THD) misst, wie viel eine Wellenform aufgrund des Vorhandenseins von Harmonischen von einer reinen Sinuswelle abweicht.In diesem Artikel werden wir als Beispiel mit einer Square -Welle von 50% mit einer Square -Welle von 50% durchlaufen.
THD ist das Verhältnis der RMS -Spannung aller harmonischen Komponenten (mit Ausnahme der Grundlagen) zur RMS -Spannung der Grundfrequenz.Harmonische sind höherfrequente Signale, die die ursprüngliche Wellenform verzerren.

Wo:
- 𝑉𝑛, RMS ist die RMS -Spannung des n -ten Harmonischen
- 𝑉fund, RMS ist die RMS -Spannung der Grundlagen (First Harmonic)
Eine Quadratwelle mit einem Arbeitszyklus von 50% enthält nur ungerade Harmonische.Seine Frequenzkomponenten werden beschrieben:

Dies kann deutlicher geschrieben werden als:

Jeder Sinusbegriff ist ein merkwürdiges Vielfaches der Basisfrequenz mit abnehmender Amplitude.
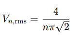
Um diese zu berechnen, brauchen wir RMS -Werte.Die Spitzenamplitude jedes Sinusbegriffs wird durch Dividierung durch Division in RMS umgewandelt
:

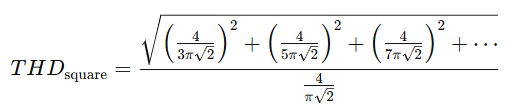
Ersetzen Sie diese in die THD -Formel:

Da schließt jeder Semester ein
Es storniert von Zähler und Nenner ab und vereinfacht zu:

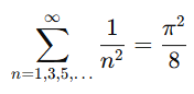
Eine bekannte mathematische Identität sagt:

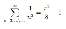
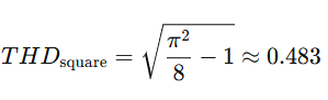
Um die Summe ab dem 3. Harmonischen zu isolieren, subtrahieren Sie den ersten Begriff:

Ersetzen Sie nun das Ergebnis in die vereinfachte THD -Formel:

Dies zeigt, dass etwa 48,3% der gesamten RMS -Spannung einer Quadratwelle aus Harmonischen über die grundlegende Frequenz bestehen.
Quadratwellen werden durch Harmonische stark verzerrt.Dieser hohe THD kann sich auf Systeme wie Audioverstärker, Netzteile und Kommunikationsschaltungen auswirken.Das Verständnis der THD hilft bei der Bewertung der Wellenformqualität und zu bestimmen, ob Filterung oder Signalkorrektur erforderlich ist.
Die Messung der gesamten harmonischen Verzerrung (THD) in tatsächlichen Signalen erfordert mehr als nur die Theorie.Tatsächliche elektrische Signale verhalten sich selten perfekt-sie umfassen Unregelmäßigkeiten, Rauschen und nichtlineares Verhalten von Systemkomponenten.Um genaue Ergebnisse zu erzielen, können Sie zwei Hauptmethoden verwenden, die je nach Anwendung unterschiedliche Detail- und Komplexitätsniveaus bieten.
Methode 1 - Filteransatz
Diese Methode beinhaltet das Teilen des Signals in zwei Teile: die ultimative Frequenz und die Harmonischen.Zunächst wird ein Bandpassfilter angewendet, um nur die Hauptfrequenz zu isolieren-derjenige, dem dem Signal folgen soll.
Als nächstes entfernt ein Hochpassfilter diese Hauptfrequenz aus dem Signal und hinterlässt nur den harmonischen Inhalt.Sobald diese beiden Komponenten getrennt sind, werden ihre RMS -Werte (Wurzel mittlerer Quadrat) berechnet.Die THD wird dann durch Vergleich der Stärke der Harmonischen mit der Stärke des Ultimativen bestimmt:

Während diese Methode relativ einfach und schnell ist, hat sie einen Nachteil.Es erfasst nicht nur Harmonische - es nimmt auch Systemrauschen auf.Aus diesem Grund wird das Ergebnis normalerweise als THD+N bezeichnet, was bedeutet, dass es sowohl harmonische Verzerrungen als auch Hintergrundgeräusche enthält.Diese Form der Messung ist bei Audiogeräteprüfungen üblich, bei denen die Gesamtsignal -Sauberkeit die wahrgenommene Klangqualität beeinflusst.
Methode 2 - Spektralanalyse
Für eine genauere und detailliertere Messung wird eine spektrale Analyse verwendet.Diese Technik bietet einen vollen Überblick über den Frequenzgehalt des Signals und eine klarere Aufschlüsselung darüber, wo Verzerrung stattfindet.
Mit einem Spektrumanalysator können Sie den gesamten Frequenzbereich eines Signals anzeigen.Der Analysator zeigt Peaks bei der Grundfrequenz und jede Harmonische.Durch Messen der Amplitude dieser Peaks ist es möglich, diese direkt zu berechnen.Einige erweiterte Analysatoren berechnen THD sogar automatisch basierend auf diesen spektralen Daten.Alternativ können Wellenformdaten mit einer Fourier -Transformation erfasst und analysiert werden - entweder in spezialisierter Software oder über einen digitalen Signalprozessor (DSP).Diese Methode trennt das Signal in alle Frequenzkomponenten und erleichtert es einfach, sowohl absichtliche Signalelemente als auch unerwünschte Harmonische zu identifizieren.
Die Spektralanalyse ist besonders in Präzisionsumgebungen wie High-End-Audio-Tests oder Labor-basierter Signalüberprüfung wertvoll.Da es eine eindeutige Trennung von Harmonischen von zufälligem Rauschen ermöglicht, erzeugt es eine genauere THD -Lesart als die Filterung allein.
Dieses Beispiel durchläuft einen tatsächlichen Test der gesamten harmonischen Verzerrung (THD) in einem elektronischen Audioverstärker.Ziel ist es, zu messen, wie viel Verzerrung der Verstärker einführt, insbesondere aus harmonischen Frequenzen, die nicht Teil des ursprünglichen Signals sind.
Eine reine Sinuswelle bei 1 kHz wird erzeugt und in den Verstärker gesendet.Diese Frequenz wird üblicherweise bei Audiotests verwendet, da sie in den Mittelbereich des menschlichen Gehörs fällt und eine typische Testbedingung darstellt.

Abbildung 4. Übergangsverzerrung in ein Signal
Es ist bekannt, dass der getestete Verstärker eine Art von Nichtlinearität einführt, die als Crossover-Verzerrung bezeichnet wird.Dieses Problem tritt häufig auf, wenn der Verstärker zwischen seinen positiven und negativen Ausgangsstadien wechselt und die Wellenform in der Nähe des Null-Crossing-Punktes leicht abflacht.Das Ergebnis ist eine subtile, aber messbare Änderung der Form des Ausgangssignals.

Abbildung 5. Frequenzspektrum der sinusförmigen Spannung mit Crossover -Verzerrung
Der Ausgang aus dem Verstärker wird in einen Spektrumanalysator eingespeist.In diesem Instrument werden das Frequenzspektrum des Signals angezeigt, sodass der Techniker das primäre Signal bei 1 kHz zusammen mit jedem darüber erscheinenden harmonischen Inhalt sehen kann.
Auf der Anzeige können Sie unterschiedliche Peaks beobachten.Der größte Peak entspricht der endgültigen Frequenz (1 kHz), während kleinere Peaks bei höheren Frequenzen die ungeraden Harmonischen darstellen-typisch in Signalen, die durch Crossover-Verzerrung betroffen sind.
Sie können die Spannungsamplituden der harmonischen Peaks aus dem Display des Analysators manuell lesen und aufzeichnen.Die gesammelten Daten sehen so aus:
|
Harmonisch |
Amplitude
(V) |
|
1 |
3.08 v |
|
3 |
0,308 v |
|
5 |
0,159 v |
|
7 |
0,090 V |
|
9 |
0,0487 v |
|
11 |
0,0253 v |
|
13 |
0,0164 v |
|
15 |
0,010 V |
Um die Berechnung zu vereinfachen, können Sie Spitzenamplituden direkt verwenden, anstatt sie in RMS -Werte zu konvertieren.Da sowohl der Zähler als auch der Nenner in der THD -Formel durch denselben Faktor √ (2) geteilt würden, storniert er ab.Die THD wird unter Verwendung der folgenden Gleichung berechnet:

Dieses Ergebnis bedeutet, dass etwa 11,8% der Gesamtsignalleistung in den Harmonischen gefunden werden, was auf ein merkliches Verzerrungsniveau hinweist.
Um das manuelle Ergebnis zu überprüfen, können Sie dasselbe Signal über einen THD-Analysator ausführen.Dieses Gerät führt die gleiche Funktion automatisch aus, isoliert die Harmonischen und berechnet die THD ohne manuelle Messwerte.
Der Analysator meldet einen THD von 11,9%.Diese nahezu übereinstimmung mit der manuellen Berechnung bestätigt, dass der Spektrumanalysator zuverlässige Daten lieferte und dass Ihre Methode solide war.
Die gesamte harmonische Verzerrung oder THD ist nicht nur eine fiktive Messung, sondern wird verwendet, um zu bewerten, wie effizient und genaue Systeme im tatsächlichen Leistungssystemen funktionieren.Ob in der Stromverteilung, in der Audio -Wiedergabe oder in der digitalen Kommunikation, THD wirkt sich direkt auf die Systemzuverlässigkeit, die Leistung und Ihre Erfahrung aus.

Abbildung 6. Stromversorgungssysteme
In elektrischen Stromversorgungssystemen ist die Verwaltung von THD gefährlich für die Aufrechterhaltung eines stabilen und effizienten Betriebs.Wenn Harmonische in hohen Niveaus vorhanden sind, verzerren sie Spannung und Stromwellenformen, was zu tatsächlichen Folgen wie verschwendeter Energie, Überhitzung und erhöhtem Verschleiß der Geräte führt.
Möglicherweise bemerken Sie, dass Schilder wie Transformatoren heiß werden, Motoren vibrieren oder überschüssige Wärme erzeugen, oder Leistungsschalter, die unerwartet stolpern.Diese Symptome weisen häufig auf hohe THD-Werte hin, insbesondere in Einrichtungen mit vielen nichtlinearen Lasten wie Variablengeschwindigkeits-Laufwerken oder LED-Beleuchtung.
Durch die Reduzierung der THD wird die Stromqualität verbessert und die Verluste reduziert.Es verringert auch die thermische und mechanische Spannung der Komponenten, verlängert ihre Lebensdauer und die Senkung der Wartungskosten.Systeme mit niedrigem THD kamen in der Regel ihrer Entwurfseffizienz näher, indem sie Versorgungsunternehmen und industrielle Prozesse helfen, kostspielige Abgänge oder unerwartete Fehler zu vermeiden.

Abbildung 7. Audiosysteme
In Audioausrüstung hat THD einen direkten Einfluss auf das, was Sie hören.Niedrig THD stellt sicher, dass der reproduzierte Sound so genau wie möglich mit der ursprünglichen Aufnahme übereinstimmt.Wenn die THD hoch ist, kann das Ergebnis verzerrt sein, das hörbar ist - wie z.
Dies ist noch wichtiger in hochwertigen oder professionellen Audioumgebungen, in denen Präzision und Klarheit ein Muss sind.Sie können sich auf Geräte mit minimaler harmonischer Verzerrung verlassen, um das gesamte Detail und den Dynamikbereich ihrer Aufnahmen zu erhalten.Durch die Aufrechterhaltung eines niedrigen THD in Audio -Systemen schützt die Integrität des Klangs und bietet ein eindringlicheres und genaueres Hörerlebnis.

Abbildung 8. Digitale und analoge Kommunikationssysteme
In digitalen und analogen Kommunikationssystemen kann THD eine Signalverschlechterung verursachen, die zu Datenfehlern oder schlechter Sprachqualität führt.Harmonische, die durch Verstärker oder Signalwege eingeführt werden, können benachbarte Kanäle beeinträchtigen, wodurch Übersprech- oder überlappende Frequenzgehalt erzeugt wird.
In der drahtlosen Kommunikation kann beispielsweise hohe THD die Bandbreiteneffizienz verringern, indem unerwünschte spektrale Inhalte eingeführt werden, die in benachbarte Frequenzen übertreffen.Dies macht es schwieriger, saubere Signale von Rauschen zu trennen und kann zu langsameren Datenraten oder gesunkenen Verbindungen führen.
Bei Hochgeschwindigkeitsdatenübertragung-wie Glasfaser, Satellitenverbindungen oder Mobilfunknetzwerke-können sich nur geringe Verzerrungen auf die Zuverlässigkeit des Systems auswirken.Wenn Sie THD niedrig halten, können Sie die Signalklarheit gewährleisten und die Kanalkapazität maximiert, insbesondere wenn die Signalgenauigkeit schwerwiegend ist.
Die Reduzierung der gesamten harmonischen Verzerrung (THD) ist ein wesentlicher Bestandteil der Effizienz, Zuverlässigkeit und langfristigen Leistung elektronischer Systeme.Unabhängig davon, ob Sie an einem Stromnetz, einem Audioverstärker oder einem Steuerungssystem arbeiten, hilft das niedrige Halten von THD bei der Aufrechterhaltung der Signalintegrität und verhindert unnötige Spannung der Komponenten.
Hier finden Sie eine Aufschlüsselung der praktischen Schritte, die Sie unternehmen können, um THD während des Systemdesigns, der Einrichtung und des Betriebs zu minimieren.
Eine der effektivsten Möglichkeiten zur Reduzierung von THD besteht darin, mit Qualitätskomponenten zu beginnen.Geräte wie Kondensatoren, Induktoren, Transformatoren und Halbleiter sollten nicht nur aufgrund ihrer Bewertungen ausgewählt werden, sondern auch für ihre Fähigkeit, die lineare Leistung unter unterschiedlichen Belastungen aufrechtzuerhalten.
Vor der Installation überprüfen Sie die Spannung, den Strom und die Frequenzanforderungen Ihres Systems, die jede Komponente überprüft oder überschreitet.Komponenten, die zu kurz fallen, können auch unter normalen Betriebsbedingungen Verzerrungen einführen.
Das Entwerfen von Schaltkreisen so linear wie möglich hilft, eine harmonische Verzerrung zu verhindern, dass sich die Entstehung erstreckt.Dies beinhaltet häufig das Aufteilen des Signalweges in gut kontrollierte Stufen und das Vermeiden von Designelementen, die möglicherweise nichtlineares Verhalten führen.
Bei Verstärkerschaltungen ist die Verwendung negativer Rückkopplungen ein häufiger und effektiver Weg, um die Verstärkung zu stabilisieren und zu unterdrücken.Wenn Sie einen Teil der Ausgabe wieder in den Eingang füttern, können Sie die Abweichungen sofort korrigieren und das Signal sauber halten.
Vermeiden Sie nach Möglichkeit ein scharfe Ausschneiden oder Überstieg in jeder Phase in der Schaltung.Selbst kleine Mengen an Nichtlinearität können Harmonische erzeugen, die die Systemleistung addieren und beeinträchtigen.
Filter sind ein nützlicher Bestandteil der THD -Reduktion.Sowohl passive Filter (die Komponenten wie Induktoren und Kondensatoren verwenden) als auch aktive Filter (einschließlich angetriebener Geräte wie Op-Amps oder digitalen Signalprozessoren) können verwendet werden, um harmonische Frequenzen aus einem Signal zu entfernen.
Anstatt generische Filter zu verwenden, ist es oft besser, Filter zu entwerfen, die auf die spezifischen Harmonischen abzielen, die Probleme in Ihrem System verursachen.Beispielsweise können in Stromversorgungssystemen, in denen der 5. oder 7. Harmonische prominente Filter ist, die Gesamtverzerrung erheblich reduzieren und die Compliance-Standards wie IEEE 519 erfüllen.
Das schlechte Lastmanagement ist eine häufige Quelle für erhöhtes THD, insbesondere in Systemen mit nichtlinearen Geräten wie variablen Geschwindigkeitsantrieben, fluoreszierenden Beleuchtung oder Schaltmodus-Netzteilen.Diese Lasten zeichnen häufig in kurzen, ungleichmäßigen Impulsen, die Harmonische erzeugen.
Um dies zu reduzieren, stellen Sie sicher, dass die Geräte innerhalb des beabsichtigten Bereichs arbeiten.Überladene Komponenten neigen dazu, Wellenformen stärker zu verzerren.Verteilen Sie gegebenenfalls elektrische Belastungen gleichmäßig auf Phasen, um ein Ungleichgewicht zu verhindern, und minimieren Sie die durch asymmetrische Leistung verursachte Verzerrung.Eine regelmäßige Lastanalyse und die tatsächliche Leistungsüberwachung können Ihnen dabei helfen, Problembereiche frühzeitig zu identifizieren und Korrekturmaßnahmen zu ergreifen, bevor diese auf problematische Ebenen steigt.
Die Reduzierung von THD ist keine einmalige Korrektur-es ist ein fortlaufender Prozess, der mit guten Designentscheidungen beginnt und mit der aktiven Systemüberwachung fortgesetzt wird.Sie müssen während der Planungsphase vorne nachdenken, Komponenten sorgfältig auswählen und überprüfen, ob die Systeme innerhalb der Spezifikation ausgeglichen sind und arbeiten.
Durch die Anwendung der richtigen Kombination aus linearem Schaltungsdesign, intelligenter Filterung und ordnungsgemäßem Lastmanagement können Sie die harmonische Verzerrung erheblich reduzieren.Dies verbessert nicht nur die Leistung, sondern erweitert auch die Lebensdauer Ihrer Ausrüstung, reduziert Energieabfälle und trägt dazu bei, dass Ihr System den wachsenden Anforderungen an Qualität und regulatorische Einhaltung entspricht.
Die gesamte harmonische Verzerrung ist mehr als ein technischer Begriff - es zeigt, wie gut und effizient ein System ausgeführt wird.In Bereichen wie hochwertigen Audiosystemen, Stromversorgungsnetzwerken oder fortschrittlichen Kommunikationsaufbauten kann THD stark beeinflussen, wie gut elektronische Systeme funktionieren.Wenn Sie wissen, woher diese Verzerrungen stammen und wie sie die Leistung beeinflussen und gute Strategien zur Minimierung von THD anwenden, kann dies zu genaueren Ergebnissen, geringeren Reparaturkosten und länger anhaltenden Systemen führen.Durch die Verwendung von erstklassigen Komponenten, das Entwerfen von Schaltkreisen und die Verwendung genauer Filter können Sie sicherstellen, dass ihre Systeme in Bestform sind.Dies unterstützt den technologischen Fortschritt, der von präzisen Signalen und Leistungsbekämpfung abhängt.
Eine harmonische Verzerrung bezieht sich auf Veränderungen in einem Signal, bei dem neue Frequenzen eingeführt werden, bei denen es sich um ein Vielfaches der ursprünglichen Frequenz handelt, die aufgrund ihres nichtlinearen Verhaltens häufig in elektronischen Geräten wie Verstärker auftreten.
Individuelle harmonische Verzerrung misst die Verzerrung bei einem einzigen Vielfachen der endgültigen Frequenz, während die gesamte harmonische Verzerrung (THD) alle harmonischen Verzerrungen in Bezug auf die endgültige Häufigkeit zusammenfasst und ein umfassendes Maß für die Verzerrung in einem System darstellt.
Der harmonische Mittelwert wird verwendet, um den Durchschnitt der Raten oder Verhältnisse zu berechnen, wodurch häufigere Zinssätze stärker gewichtet werden, und ist in finanziellen Kontexten, in denen unterschiedliche Mengen zu unterschiedlichen Preisen gekauft werden, häufiger nützlich.
Median: Organisieren Sie die Daten in der Reihenfolge und finden Sie den mittleren Wert, wenn die Anzahl der Zahlen ungerade oder den Durchschnitt der beiden mittleren Werte, falls gleichmäßig ist.Modus: Identifizieren Sie den am häufigsten vorkommenden Wert im Datensatz.
Die Auswahl des besten Maßes für die dominante Tendenz - Mittel, Median oder Modus - hängt von der Datenverteilung und den spezifischen analytischen Bedürfnissen ab.Der Median wird für verzerrte Verteilungen bevorzugt, um Verzerrungen durch Ausreißer zu vermeiden, während der Modus für kategoriale Daten am besten geeignet ist, bei denen die häufigste Kategorie gesucht wird.
CAP CER 0.22UF 16V X7R 0402
CAP CER 3300PF 50V U2J 0805
IC TRANSCEIVER FULL 3/3 24TSSOP
OPTOISO 5KV LINEAR PHVOLT 8DIP
VE-J6Z-IZ 300V/2V 5A ROHS
ZORAN BGA
TOSHIBA TSSOP
PEF2465HV1.2 INFINEO
PHILIPS QFP
AF3260-LB-00 ACCFAST
SAMSUNG BGA
RENESAS QFP
XILINX 352BGA





