Deutsch
Zeit: 2025/03/31
Durchsuchen: 5,432

Ein Bandpassfilter ist eine Art elektronischer Schaltung, das Signale innerhalb eines bestimmten Frequenzbereichs durchsetzt und gleichzeitig diejenigen blockiert, die außerhalb dessen fallen.Dieser Bereich wird durch zwei Cutoff -Punkte definiert - eine niedrige und ein Hoch.Signale unterhalb der unteren Grenze oder über der Obergrenze werden stark reduziert oder beseitigt.
Durch das Erleiten einer gezielten Scheibe des Frequenzspektrums können der Filter unerwünschte Störungen durch Signale verhindern, die nicht in diesem Bereich gehören.Dieses selektive Verhalten ist schwerwiegend in Systemen, die auf sauberen, spezifischen Signalen stützen - wie Audioverarbeitung, drahtlose Kommunikation oder Instrumentierung -, bei denen zu viel Lärm oder Überlappung die Leistung stören kann.
Um einen Bandpassfilter zu erstellen, kombinieren Sie zwei grundlegende Filtertypen-ein Tiefpass und einen Hochpass-in einer bestimmten Reihenfolge.Zusammen wirken sie nur die Frequenzen, die Sie wollen, von einem breiteren Signal.
Der Prozess beginnt mit dem Tiefpassfilter.Dieser Teil der Schaltung schwächt oder blockiert alle Signale, die höher als eine bestimmte Grenzfrequenz sind, so dass nur die niedrigeren Frequenzen durchlaufen werden können.Zu diesem Zeitpunkt sind sowohl das Zielfrequenzband als auch alle niedrigeren unerwünschten Signale noch vorhanden.
Als nächstes fließt das Signal in den Hochpassfilter.Diese Komponente beseitigt die niedrigeren Frequenzen, die der Tiefpassfilter erlaubt ist, sich jedoch noch außerhalb des gewünschten Bereichs befindet.Was übrig bleibt, ist der mittlere Abschnitt - das Frequenzenband, der zwischen den beiden Grenzpunkten fällt.
Diese schrittweise Filterung verengt das ursprüngliche Signal nur auf die Frequenzen innerhalb eines bestimmten Bereichs.Das Ergebnis ist eine saubere Ausgabe, die auf Anwendungen zugeschnitten ist, bei denen nur ein bestimmtes Frequenzband nützlich ist, z.

Abbildung 2. Systempegelblockdiagramm eines Bandpassfilters
Während ein Diagramm dazu beitragen kann, dieses Setup zu visualisieren, ist die Kernidee einfach: Ein Filter geht von der Oberseite ab, der andere von der Unterseite und das, was übrig ist, ist die Band, die Sie benötigen.
Eine einfache Möglichkeit, einen Bandpassfilter zu erstellen, besteht darin, zwei einfache RC-Schaltungen (Widerstandskapazitoren) in Reihe zu verwenden.Dieses Setup verwendet einen Tiefpassfilter, gefolgt von einem Hochpassfilter.Gemeinsam arbeiten sie, um nur ein bestimmtes Band von Mittelklassefrequenzen zu ermöglichen und gleichzeitig die zu hoch oder zu niedrigen Signale zu reduzieren.

Abbildung 3.. Kapazitiver Bandpassfilter

Der Filter ist in zwei Phasen gebaut.Die erste Stufe ist ein Tiefpassfilter mit einem Widerstand und einem Kondensator-insbesondere ein 200-Ohm-Widerstand (R1), der in Reihe mit einem 2,5-Mikrofarad-Kondensator (C1) verbunden ist.Diese Stufe reduziert hochfrequente Signale über einem bestimmten Grenzwert.
Die zweite Stufe ist ein Hochpassfilter, der mit einem 1-Mikrofarad-Kondensator (C2) und einem 1-Kiloohm-Lastwiderstand (RAD) erstellt wurde.Dieser Teil der Schaltung entfernt Niederfrequenzkomponenten unterhalb des Grenzschwellenwerts.Durch die Anordnung dieser beiden Stufen hintereinander erstellt die Schaltung ein Passband-ein Bereich, in dem nur die gewünschten Mittelklassefrequenzen übrig bleiben.
Der Vorgang beginnt, wenn ein 1-Volt-Wechselstromsignal auf den Eingang angelegt wird.Wenn das Signal in die erste Stufe eingeht, blockiert der Tiefpassfilter hochfrequente Komponenten.Was übrig bleibt, umfasst niedrigere Frequenzen und die Mittelklasse-Band.Das gefilterte Signal bewegt sich dann in die zweite Stufe.Hier entfernt der Hochpassfilter die verbleibenden niederfrequenten Signale.Der endgültige Ausgang ist um eine bestimmte Frequenz zentriert, bei der beide Filter das Signal effizient verabschieden können.

Abbildung 4. Reaktion eines kapazitiven Bandpassfilterpeaks innerhalb eines schmalen Frequenzbereichs
In dieser Konfiguration ist der Filter abgestimmt, um die Frequenzen etwa 250 Hz durchlaufen zu lassen und gleichzeitig die Signale außerhalb dieses Bereichs stark abzuschwächen.Wenn Sie seine Leistung in einem Frequenzgang -Diagramm anzeigen würden, sehen Sie einen klaren Peak in der Ausgangsspannung nahe 250 Hz.Dieser Peak markiert die Mitte des Durchgangs und zeigt die Fähigkeit des Filters, einen schmalen Frequenzbereich zu isolieren.
Induktorbasierte Bandpassfilter sind eine weitere Möglichkeit, einen bestimmten Frequenzbereich von einem Eingangssignal zu isolieren.Während sie dem gleichen Grundprinzip wie kondensatorbasierten Filtern folgen, unterscheiden sich das Layout und das Verhalten der Schaltung geringfügig.In diesem Design beginnt die Schaltung mit einem Hochpassfilter und endet mit einem Tiefpassfilter, wobei beide Induktoren den Frequenzgang formen.

Abbildung 5. Induktiver Bandpassfilter
Die erste Stufe ist der Hochpassfilter.Es verwendet einen Widerstand (R1) und einen Induktor (L1), der in einer Reihe verbunden ist.Dieser Teil des Schaltkreises blockiert niederfrequente Signale, sodass höhere Frequenzen vorwärts gehen können.
Als nächstes kommt die Tiefpassstufe, besteht aus einem zweiten Induktor (L2) und einem Lastwiderstand (Rad).In diesem Abschnitt wird das Gegenteil ausgeglichen-es reduziert Hochfrequenzkomponenten, sodass nur Signale unter einer bestimmten Frequenz fortgesetzt werden können.Wenn die beiden Stufen nacheinander verbunden sind, ermöglicht die Kombination nur mittelgroße Frequenzen.Alles zu niedrig wird in der ersten Stufe blockiert und alles zu hoch wird von der zweiten geschnitten.
Der Eingang ist ein Wechselstromsignal, das zuerst in den Hochpassabschnitt eingeht.Zu diesem Zeitpunkt werden niederfrequente Signale aufgrund des Verhaltens der Widerstands-Induktor-Kombination unterdrückt.Das gefilterte Signal fließt dann in den Tiefpassabschnitt, wo verbleibende Hochfrequenzkomponenten entfernt werden.Was übrig bleibt, ist eine Bande von Frequenzen, die sich um den Bereich, der durch die beiden Grenzpunkte definiert ist, zentriert ist.
Bandpassfilter sind in verschiedenen Formen ausgelegt, die jeweils für unterschiedliche technische und praktische Bedürfnisse ausgelegt sind.Die Auswahl des Filters hängt davon ab, wie genau die Frequenzregelung sein muss, ob eine Signalverstärkung erforderlich ist, und die Einschränkungen des Systems, bei dem der Filter verwendet wird.

Aktive Bandpassfilter verwenden operative Verstärker in Kombination mit Widerständen, Kondensatoren und manchmal Induktoren.Im Gegensatz zu passiven Designs können diese Filter die Stärke von Signalen innerhalb des gewünschten Frequenzbandes erhöhen und gleichzeitig die außerhalb dessen unterdrückten.Diese doppelte Funktion - Filtering und Verstärkung - sorgt für eine beliebte Wahl in Systemen, die sowohl saubere Signale als auch zusätzlichen Verstärker benötigen.
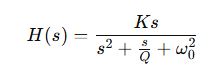
Das Verhalten dieser Filter kann unter Verwendung einer Standardübertragungsfunktion beschrieben werden:

Hier ist K die Verstärkung bei der Mittelfrequenz (ω0) und Q definiert, wie schmal oder breit das Passband ist.

Abbildung 7. Passive Bandpassfilter
Diese Filter stützen sich ausschließlich auf passive Komponenten - Resistenten, Kondensatoren und Induktoren - und benötigen keine externe Stromquelle.Ihre Einfachheit und langfristige Zuverlässigkeit machen sie ideal für Systeme, bei denen der Stromverbrauch minimiert werden muss und bei denen keine Signalverstärkung erforderlich ist.
Ihre Antwort kann durch eine vereinfachte Übertragungsfunktion modelliert werden:

In diesem Fall steuert K die Signalskalierung, und das Fehlen aktiver Komponenten spiegelt die passive Natur des Filters wider.

Abbildung 8. RLC-Bandpassfilter
Eine häufige Form des passiven Filters, des RLC-Bandpassfilters, verwendet eine Kombination aus Widerständen, Induktoren und Kondensatoren.Diese Komponenten sind so angeordnet, dass sie bei einer bestimmten Frequenz mit einer präzisen Abstimmung des Passbandes Resonation ermöglichen.RLC -Filter werden häufig in analogen Schaltungen verwendet, wobei das genaue Targeting der Frequenz nützlich ist, z. B. Funkempfänger oder Instrumente.

Abbildung 9. breite Bandpassfilter
Breite Bandpassfilter sind so konzipiert, dass ein breiterer Bereich von Frequenzen durchlaufen wird.Sie werden normalerweise durch Anschließen einfacherer Filter niedrigerer Ordnung nacheinander erstellt.Abhängig vom Design können sie eine schrittweise Abschwächung der Frequenzen außerhalb des Durchgangs anbieten.Zum Beispiel rollen Abschnitte erster Ordnung bei etwa ± 20 dB pro Jahrzehnt ab, während Abschnitte zweiter Ordnung die Steigung auf etwa ± 40 dB pro Jahrzehnt steigern.Diese Filter eignen sich gut für Systeme, die über ein breites Frequenzspektrum hinweg Flexibilität erfordern, wie z. B. Audio-Equalizer oder Breitbandkommunikationsgeräte.

Abbildung 10. Schmale Bandpassfilter
Wenn Präzision gefährlich ist, kommen schmale Bandpassfilter ins Spiel.Diese Filter sind fein abgestimmt, um nur einen schlanken Frequenzbereich zu durchlaufen und alles andere zu blockieren.Sie enthalten häufig mehrere Rückmeldungen oder abgestimmte Komponenten, die ihre Selektivität schärfen.Ihre enge Kontrolle macht sie ideal für Anwendungen wie Signal -Demodulation oder Filterung von eng beabstandeten Frequenzen in überfüllten Kommunikationskanälen.
Bandpassfilter bieten mehrere wertvolle Vorteile, insbesondere bei der Arbeit mit Signalen, die in einem bestimmten Frequenzbereich isoliert oder gereinigt werden müssen.Ihre Leistung birgt jedoch auch einige Herausforderungen, die während des Designs und der Implementierung berücksichtigt werden müssen.
Eine der Hauptstärken eines Bandpassfilters ist die Fähigkeit, nur die gewünschten Frequenzen zu durchlassen und gleichzeitig alles andere zu blockieren.Dies hilft bei der Erhaltung der Signalqualität, indem die Störungen durch umgebende Rauschen reduziert werden - ein wichtiger Vorteil in Umgebungen, in denen sich viele Signale überlappen.
Bei aktiven Konstruktionen können diese Filter auch die gewünschten Frequenzen innerhalb des Passbandes verstärken.Diese eingebaute Verstärkung hilft bei der Aufrechterhaltung der Signalstärke, ohne zusätzliche Schaltkreise zu erfordern.Aufgrund ihres effizienten Designs sind viele Bandpassfilter kompakt genug, um in enge Räume zu passen, was sie ideal für die Verwendung in modernen elektronischen Systemen macht.
Sie werden diese Filter häufig in Bereichen wie der drahtlosen Kommunikation finden, in denen sie Trägersignale isolieren.im Audio -Engineering, wo sie die Klangqualität verfeinern;in medizinischen Geräten, wo sie präzise biologische Signale erkennen;und in Radarsystemen, wo genaues Frequenz -Targeting ein Muss ist.
Trotz ihrer Nützlichkeit haben Bandpassfilter einige Einschränkungen.Sie arbeiten nur in einem festgelegten Frequenzbereich effektiv, sodass der Filter sorgfältig für die genaue Anwendung ausgelegt sein muss.Die Auswahl des richtigen Widerstands, des Kondensators oder der Induktorwerte ist riskant, da selbst kleine Abweichungen das Verhalten des Filters verschieben und die Leistung verringern können.
Ein weiteres häufiges Problem tritt in der Nähe der Kanten des Passbandes auf.Wenn sich das Signal den Grenzfrequenzen nähert, ist der Übergang von Pass zum Stopp nicht perfekt - dies kann zu leichter Verzerrung oder einem leichten Verlust der Signalklarheit führen.
Das Entwerfen von Filtern mit hoher Präzision erfordert ein tiefes Verständnis des Schaltungsverhaltens und erfordert häufig erweiterte Design -Tools.In Hochleistungs- oder schwerwiegenden Missionssystemen können diese Filter auch Prämienkomponenten und engere Herstellungsverträglichkeiten erfordern, die sowohl Kosten als auch Komplexität erhöhen können.
Bandpassfilter werden in vielen technologischen Bereichen verwendet, indem Signale innerhalb eines bestimmten Frequenzbereichs isoliert werden.Diese Fähigkeit, unerwünschte Frequenzen herauszufiltern und gleichzeitig nur diejenigen zu halten, die Materie in Systemen nützlich sind, bei denen Klarheit, Genauigkeit oder Signalsteuerung erforderlich sind.
In Geräten wie Smartphones, Wi-Fi-Routern und Bluetooth-Zubehör stellen Bandpassfilter sicher, dass jeder Kommunikationskanal innerhalb seines zugewiesenen Frequenzbandes bleibt.Sie helfen dabei, eine Störung zwischen überlappenden Signalen zu verhindern und eine klarere Datenübertragung und stabilere Verbindungen zu ermöglichen.
In Soundsystemen werden Bandpassfilter verwendet, um Audio zu formen und zu verfeinern.Sie erscheinen in Equalizer, Lautsprecherkreuzungen und Tone Control Circuits.Indem diese Filter nur bestimmte Frequenzen durchliegen, helfen Sie Ihnen dabei, Bass, Mitteltöner und Höhen für sauberere, kontrolliertere Klang zu balancieren.
Radar und Sonar verlassen sich auf eine präzise Signalerkennung.Bandpassfilter entfernen Hintergrundgeräusche und irrelevante Frequenzkomponenten, wobei nur die Signale zurückblicken, die die Ziele reflektieren.Dies verbessert die Genauigkeit bei der Verfolgung, Navigation und Objekterkennung in Luft- und Unterwasserumgebungen.
Bei Technologien wie Ultraschall und MRT hängt die Bildqualität stark von der Signalklarheit ab.Bandpassfilter helfen, indem sie die genauen Frequenzen isolieren, die in diesen Scans verwendet werden.Dies reduziert die Störung und schärft das endgültige Bild, das eine genauere medizinische Diagnose unterstützt.
Laborinstrumente befassen sich häufig mit einer Mischung aus Signalen, einschließlich Lärm.Bandpassfilter extrahieren nur die relevanten Daten, mit denen Sie genauere und wiederholbare Messungen in Bereichen wie Physik, Chemie und Ingenieurwesen annehmen können.
Instrumente, die seismische Verschiebungen, atmosphärische Bedingungen oder andere natürliche Phänomene verfolgen, verwenden Bandpassfilter, um sich auf aussagekräftige Frequenzbänder zu konzentrieren.Dies hilft, spezifische Ereignisse wie Erdbeben oder Druckänderungen zu identifizieren, indem nicht verwandte Hintergrundgeräusche reduziert werden.
Sie können Bandpassfilter kreativ verwenden, um Sound zu formen.Unabhängig davon, ob Synthesizer -Töne basteln oder Spezialeffekte entwerfen, diese Filter helfen dabei, Teile des Schallspektrums zu isolieren, um bestimmte Elemente zu betonen oder zu unterdrücken, wodurch der künstlerische Ausdruck verbessert wird.
Bei der Erdbebenüberwachung und -analyse ist es aktiv, spezifische Schwingungsfrequenzen zu untersuchen.Bandpassfilter isolieren die seismischen Wellen von Interesse, wodurch es einfacher ist, die Bodenbewegung zu interpretieren und potenzielle Muster für Frühwarnsysteme zu identifizieren.
Systeme wie EKG (Elektrokardiogramm) und EEG (Elektroenzephalogramm) verwenden Bandpassfilter, um sich auf die Frequenzbereiche zu konzentrieren, die einer sinnvollen biologischen Aktivität entsprechen.Auf diese Weise können Sie die Herz- und Gehirnfunktion ohne Störung anderer Signale überwachen.
Selbst gut gestaltete Bandpassfilter können Leistungsprobleme haben, sobald sie in realen Schaltungen erstellt und getestet wurden.Das Erkennen typischer Problembereiche - und das Wissen, wie sie repariert werden, können dazu beitragen, dass der Filter wie beabsichtigt funktioniert.Im Folgenden finden Sie einige der häufigsten Herausforderungen, denen Sie begegnen, sowie praktische Möglichkeiten, sie zu lösen.
Bei aktiven Bandpassfiltern kann Instabilität als unvorhersehbare Ausgangssignale oder sogar selbsttragende Oszillationen angezeigt werden.Dies ergibt sich häufig aus einer schlechten Kontrolle von Gewinn- und Phasenbeziehungen innerhalb der Rückkopplungsschleife.Wenn die Verstärkung zu hoch ist oder die Phasenränder zu eng sind, kann die Schaltung instabil werden.
Wie repariere ich es?
Überprüfen Sie zunächst die Gewinnstufen und Phasenränder in Ihrem Design.Schauen Sie sich den Rückkopplungsweg genau an-insbesondere in Op-Amper-Schaltungen-und stellen Sie sicher, dass alle Komponenten ordnungsgemäß funktionieren.Das Anpassen des Feedback -Netzwerks oder der Optimierungskomponentenwerte kann das System häufig wieder in einen stabilen Betriebsbereich bringen.
Manchmal schwächt der Filter das Signal mehr als erwartet - selbst innerhalb des Passbandes.Dieses Problem, das als hoher Einfügungsverlust bezeichnet wird, reduziert die Gesamtsystemleistung, indem die Stärke des gewünschten Signals verringert wird.
Wie repariere ich es?
Überprüfen Sie, ob der gemessene Einfügungsverlust für Ihren Antrag akzeptabel ist.Wenn nicht, berechnen Sie die neu berechtigten Komponentenwerte, insbesondere solche, die den Qualitätsfaktor des Filters (Q) beeinflussen.Ein Q, das zu hoch oder zu niedrig ist, kann den Verlust erhöhen.In einigen Fällen kann die Anpassung der Eingangs- und Ausgangsimpedanzen des Filters an die umgebenden Schaltkreise auch die Signalübertragung verbessern.
Sie werden möglicherweise feststellen, dass sich Ihr Filter nicht wie erwartet in der Nähe der Kante des Passbandes verhalten.Es könnte sein, dass unerwünschte Signale durch oder blockieren, die vergehen sollten.Dies weist normalerweise auf Ungenauigkeiten bei der Berechnung der Grenzfrequenzen oder der Implementierung hin.
Wie repariere ich es?
Überprüfen Sie Ihre Cutoff-Frequenzformeln und stellen Sie sicher, dass die tatsächlichen Komponentenwerte mit dem fiktiven Design übereinstimmen.Tatsächliche Komponenten haben Toleranzen, und kleine Variationen können die Grenzpunkte verschieben.Bedenken Sie auch, dass parasitäre Effekte - wie die Streatkapazität zwischen Spuren oder unbeabsichtigte Induktivität in Komponentenleitungen - den Frequenzgang des Filters verändern können.Versuchen Sie, die Schaltung mit diesen Parasitiks zu simulieren.Dies zeigt häufig subtile Probleme und hilft bei der Leitung von Anpassungen, die die Reaktion wieder auf das Ziel bringen.
Bandpassfilter sind nützlich, um bestimmte Frequenzbänder in elektronischen Systemen zu reinigen und zu konzentrieren.Wir haben ihre Entwürfe, Typen und Verwendungszwecke untersucht und gesehen, wie wichtig sie für die Verbesserung der Signalklarheit in verschiedenen Bereichen sind, von der medizinischen Bildgebung bis zur drahtlosen Kommunikation.Trotz einiger Probleme, die möglicherweise auftauchen, funktionieren die Lösungen, über die wir gesprochen haben, diesen Filtern gut und unterstützt die Effizienz der modernen Elektronik.Wenn die Technologie voranschreitet, wird erwartet, dass die Bedeutung von Bandpassfiltern zunimmt und sich weiterhin auf verschiedene Branchen auswirkt, indem Signalverarbeitung sauberer und präziser wird.
Ein idealer Bandpassfilter überträgt alle Frequenzen in einem bestimmten Bereich, der als Passband bezeichnet wird, perfekt und blockiert die Frequenzen außerhalb dieses Bereichs, das als Stoppband bezeichnet wird, vollständig.Es erreicht dies mit scharfen Grenzwerten an den Passbandkanten, was bedeutet, dass es keinen allmählichen Übergang gibt.Frequenzen unmittelbar außerhalb des Passbandes werden vollständig abgeschwächt.In praktischer Hinsicht sind solche perfekten Merkmale fiktiv, da die tatsächlichen Filter immer einen gewissen Übergang zwischen dem Passband und dem Stoppband aufweisen.
Die primäre Funktion eines Bandpassfilters besteht darin, die Frequenzen innerhalb eines bestimmten Bereichs zu ermöglichen, während Frequenzen außerhalb dieses Bereichs blockiert werden.Dies wird in Anwendungen wie Radiokommunikation verwendet, bei denen bestimmte Frequenzen für die Übertragung oder Rezeption ohne Störung anderer Signale isoliert werden müssen.In einem Funkempfänger kann beispielsweise ein Bandpassfilter verwendet werden, um nur die Frequenzen eines bestimmten Broadcast -Senders auszuwählen, wodurch ein klarer Empfang und die Minimierung von Lärm sichergestellt wird.
Bandpassfilter sind im Allgemeinen nicht leitend.Dies bedeutet, dass sie unabhängig von der Richtung des Signals gleich funktionieren.Unabhängig davon, ob ein Signal aus dem, was herkömmlicherweise als Ausgangs- oder Eingangsseite angesehen werden könnte, bleibt das Verhalten des Filters in Bezug auf die Frequenzselektivität konsistent.
Filter werden häufig anhand ihrer Leistungseigenschaften wie Bandbreite, Selektivität und Einfügungsverlust bewertet.Die Selektivität misst, wie gut ein Filter zwischen gewünschten und unerwünschten Frequenzen unterscheiden kann.Die Bandbreite befasst sich mit dem Frequenzbereich, den der Filter zulässt, und der Einfügungsverlust bezieht sich auf die Höhe der durch den Filter verlorenen Signalleistung.Filter werden auch nach ihrer Bestellung bewertet, wobei Filter höherer Ordnung schärfere Grenzwerte und bessere Selektivität bieten, aber im Allgemeinen komplexere Designs erfordern und möglicherweise eine größere Signalverzerrung einführen.
Filterbewertungen liefern nützliche Informationen zu den Betriebsfunktionen und Einschränkungen eines Filters.Sie helfen bei der Auswahl des richtigen Filters für eine bestimmte Anwendung, indem sie Parameter wie Frequenzbereich, Effizienz, Leistungsbehandlung und Umwelttoleranz detailliert beschreiben.Bewertungen stellen sicher, dass der Filter in seiner festgelegten Rolle wie erwartet funktioniert, unabhängig davon, ob er in einem Audiosystem filtert oder harmonische Frequenzen in elektrischen Schaltungen blockiert.Diese Bewertungen sind für Sie schwerwiegend, um Filter an ihre Bedürfnisse anzupassen und die Integrität und Leistung der Systeme zu gewährleisten.
CAP CER 0.022UF 25V X5R 0201
CAP CER 0.1UF 50V X7R 1210
CAP CER 0.022UF 25V 0402 EPOXY
CAP CER 680PF 450V C0G 0805
CAP CER 6800PF 200V X7R 1206
IC TRANSCEIVER FULL 4/4 24SOIC
ACPL-217-70BE AVAGO
MC81F4416Q ABOV
ROHM SSOP-32
FAN5355UC00XDKR-ND FAIRCHILD
MELLANOX QFN
SITCORES SOP-16
WINBOND BGA




