Deutsch
Zeit: 2025/03/13
Durchsuchen: 1,812


Abbildung 2. Kondensator gegen Widerstand
Beim Vergleich von Kondensatoren und Widerständen in elektrischen Schaltkreisen werden ihre operativen Unterschiede klar.Widerstände funktionieren einfach: Sie lassen den elektrischen Strom in direktem Verhältnis zur angelegten Spannung nach dem Ohmschen Gesetz durchlaufen.Ihre Hauptaufgabe ist es, elektrische Energie als Wärme zu zerstreuen und sie vorhersehbar und leicht in Schaltkreisen zu modellieren.
Kondensatoren hingegen verhalten sich anders.Anstatt einfach den Stromfluss zuzulassen, speichern sie die elektrische Energie vorübergehend und füllen ihn nach Bedarf frei.Dieser Vorgang basiert auf der Bildung eines elektrischen Feldes zwischen den Kondensatorplatten und nicht auf einer kontinuierlichen Bewegung von Elektronen.Aus diesem Grund leiten Kondensatoren nicht direkt wie Widerstände Elektrizität.
Die Reaktion eines Kondensators auf Spannung hängt davon ab, wie schnell sich die Spannung ändert.Diese Eigenschaft wird durch kapazitive Reaktanz beschrieben, die als eine Art von Widerstand gegen Variationen der Spannung wirkt.In Schaltkreisen unter Verwendung von Wechselstrom (AC), bei denen die Spannungsniveaus ständig schwankt, spielen Kondensatoren eine wichtige Rolle bei der Regulierung dieser Veränderungen.Durch die Glättung von Spannungsvariationen und Verbesserung der Energieeffizienz tragen Kondensatoren bei der Aufrechterhaltung einer stabilen Schaltungsleistung.
Das Verhalten eines Kondensators in einem elektrischen Schaltkreis folgt einer grundlegenden mathematischen Beziehung zwischen dem Strom, der durch ihn fließt, und der Geschwindigkeit, mit der sich die Spannung über ihre Klemmen über die Zeit ändert.Diese Beziehung wird ausgedrückt als:

Wo:
• Ich repräsentiert den sofortigen Strom in Ampere (a).
• C ist die Kapazität, gemessen in Farads (F).
• V bezeichnet die momentane Spannung über den Kondensator, gemessen in Volt (V).
• DV/DT gibt die Spannungsänderung im Laufe der Zeit in Volt pro Sekunde (v/s) an.
Diese Gleichung zeigt, dass der Strom, der durch einen Kondensator fließt, direkt proportional zu der schnellen Änderung der Spannung ist.Eine schnellere Änderung der Spannung führt zu einem größeren Strom, während eine konstante Spannung (Nullveränderung über die Zeit) zu keinem Stromfluss führt.

Abbildung 3.. Kondensatorspannungsverzögerungskondensatorstrom um 90 °
Um besser zu verstehen, wie ein Kondensator mit einer Wechselstromquelle (Wechselstromquelle) interagiert, sollten Sie einen einfachen Stromkreis in Betracht ziehen, in dem ein Kondensator an eine Wechselstromspannungsversorgung angeschlossen ist.Während der Spannung oszilliert, erfährt der Kondensator kontinuierliche Lade- und Entladungszyklen.Das folgende Schlüsselverhalten entsteht:
• Der Kondensator lädt bei zunehmender Spannung auf und entlädt sich mit abnehmender Spannung.
• Die Größe des Stroms hängt davon ab, wie steil die Spannung ändert.Der höchste Strom tritt auf, wenn die Spannungswellenform die steilste Steigung aufweist, die bei den Null-Crossing-Punkten auftritt.
• Wenn die Spannung ihren Peak erreicht (entweder maximal oder minimal), ist die Änderungsrate Null, was bedeutet, dass in diesen Momenten kein Strom fließt.

Abbildung 4. Reine kapazitive Schaltungswellenformen
Ein Hauptmerkmal für kapazitive Schaltkreise ist die Phasenverschiebung zwischen Spannung und Stromwellenformen.Beim Aufstellen dieser Wellenformen:
• Der Strom erreicht seinen Maximalwert, wenn sich die Spannung am schnellsten ändert.
• Die Spannung erreicht ihren Peak, wenn der Strom Null ist.
• Infolgedessen führt die Stromwellenform die Spannungswellenform um 90 Grad.
Diese Phasenverschiebung unterscheidet Kondensatoren von Widerständen, bei denen Spannung und Strom in Phase bleiben.In einem Kondensator bleibt die Spannung hinter dem Strom zurück, was bedeutet, dass die Spannung des Kondensators Zeit braucht, um auf Änderungen des Stroms zu reagieren.

Abbildung 5. Spannungsverzögerungsstrom um 90 ° in einer reinen kapazitiven Schaltung
Ähnlich wie bei Induktoren weisen Kondensatoren aufgrund der 90-Grad-Phasenverschiebung zwischen Spannung und Strom ein abwechselndes Leistungsverhalten auf.Dies führt zu folgenden Effekten:
• Die sofortige Leistung wechselt zwischen positiven und negativen Werten über einen vollständigen Wechselstromzyklus.
• Im Gegensatz zu Widerständen, die Energie als Wärme abgeleiten, verlieren Kondensatoren keine Energie.Stattdessen speichern sie Energie im elektrischen Feld zwischen ihren Platten und lucken sie regelmäßig wieder in die Schaltung.
• Da die Netto -Leistungsdissipation über einen vollständigen Zyklus Null ist, werden die Kondensatoren in AC -Schaltungen als reaktive Komponenten klassifiziert.Ihre Rolle besteht in erster Linie darin, die Zeit- und Phasenbeziehungen von Spannungen und Strömen zu beeinflussen, anstatt die elektrische Leistung zu konsumieren.

Abbildung 6. Reine kapazitive Schaltung Die momentane Leistung kann positiv oder negativ sein
Ein Kondensator widersetzt sich natürlich den Veränderungen der Spannung.Da ein Wechselstromsignal (AC) -Signal sowohl in Größe als auch Richtung kontinuierlich variiert, lehnt ein Kondensator gegen diese Schwankungen ab.Diese Opposition gegen Wechselstromspannung wird als kapazitive Reaktanz bezeichnet, die bestimmt, wie viel Strom ein Kondensator bei einer bestimmten Spannung und Frequenz fließen lässt.
In einer DC -Schaltung wirkt ein voll geladener Kondensator wie ein offener Stromkreis und verhindert einen weiteren Stromfluss.In einem Wechselstromkreis ändert sich die Spannung jedoch ständig, was bedeutet, dass der Kondensator kontinuierlich aufgeladen und entlädt.Die Geschwindigkeit, bei der diese Ladungsentladungszyklen auftreten, hängt von der Frequenz des Wechselstromsignals ab.

Abbildung 7. Kapazitive Reaktanz
Die als XC bezeichnete kapazitive Reaktanz dient einer ähnlichen Funktion wie Widerstand in einem Widerstand - es steuert den Stromfluss.Im Gegensatz zu Widerstand, die konstant bleibt, variiert die kapazitive Reaktanz jedoch mit der Frequenz.Mit zunehmender Frequenz bietet der Kondensator weniger Widerstand gegen Strom und ermöglicht es, mehr Strom zu durchlaufen.Bei niedrigeren Frequenzen nimmt die Opposition zu und schränkt den Stromfluss ein.
Die Formel für die kapazitive Reaktanz lautet:

Wo:
• XC ist die kapazitive Reaktanz (in Ohm, ω).
• F ist die Wechselstromsignalfrequenz (in Hertz, Hz).
• C ist die Kapazität (in Farads, f).
Diese Gleichung zeigt eine umgekehrte Beziehung zwischen Reaktanz und Frequenz.Eine höhere Frequenz verringert die Reaktanz und erleichtert den Strom.Umgekehrt widersetzt sich der Kondensator bei niedrigeren Frequenzen dem Stromfluss effektiver.
Um zu veranschaulichen, wie sich die kapazitive Reaktanz in einem realen Schaltkreis verhält, berücksichtigen Sie einen 100 uF -Kondensator, der mit einer 10 -V -Wechselstromquelle, die bei 60 Hz arbeitet, verbunden ist.
Verwenden der Formel:

Bewerben Sie nun das Ohmsche Gesetz, um den aktuellen zu bestimmen:

Bei 60 Hz ermöglicht der Kondensator ungefähr 0,377 A des Stroms.Wenn die Frequenz höher wäre, würde die Reaktanz abnehmen, was noch mehr Strom ermöglicht.Umgekehrt würde der Kondensator bei niedrigerer Frequenz den Stromfluss stärker absetzen.

Abbildung 8. Spannungsverzögerungsstrom um 90 ° in einem Kondensator
Im Gegensatz zu Widerständen, bei denen die Spannung und der Strom zusammen (in der Phase) steigen und fallen, führen Kondensatoren eine Phasenverschiebung von 90 ° zwischen Spannung und Strom ein.In einer rein kapazitiven Schaltung:
• Strom führt die Spannung um 90 °- Der Strom erreicht seinen Höhepunkt, bevor die Spannung dies tut.
• Spannungsverzögerungsstrom um 90 °- Das Verfassen des Kondensators braucht Zeit, um auf die aktuellen Änderungen zu reagieren.
Mathematisch kann diese Phasenbeziehung ausgedrückt werden als:

Der negative Phasenwinkel (-90 °) zeigt an, dass die kapazitive Reaktanz eine imaginäre Menge in der Wechselstromkreisanalyse ist.Dieses Konzept wird bei der Arbeit mit Impedanz verwendet, wobei Reaktanz und Resistenz dazu beitragen, den Stromfluss in komplexeren Schaltungen zu beeinflussen.
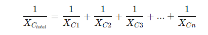
Das Verbinden von Kondensatoren in einer Serie verändert die Art und Weise, wie sie mit einem Wechselstromkreis interagieren.Wenn Kondensatoren auf diese Weise angeordnet sind, nimmt der Abstand zwischen ihren äquivalenten Platten effektiv zu, was die Gesamtkapazität verringert.Dies steht im Gegensatz zu Widerständen in Reihe, bei denen der Gesamtwiderstand einfach die Summe der einzelnen Widerstände ist.Stattdessen nimmt in einer Serienkondensatorkonfiguration die kapazitive Reaktanz der Kapazitiven zu, was es schwieriger macht, dass AC zum Fließen schwierig ist.Die Gesamtreaktanz folgt dieser Gleichung:

Um dies in Aktion zu sehen, betrachten Sie zwei 10 uF -Kondensatoren, die in Serie in einem 200 -V -60 -Hz -Wechselstromkreis angeschlossen sind.Wenn nur ein Kondensator vorhanden wäre, würde seine kapazitive Reaktanz 265,4 Ohm betragen, was 753,4 Ma Strom zum Fluss ermöglicht.Wenn jedoch ein zweiter 10 uF -Kondensator in Reihe zugesetzt wird, verdoppelt sich die Gesamtreaktanz auf 530,8 Ohm, wodurch der Strom in zwei Hälften auf 376,65 Ma geschnitten wird.

Dieses Beispiel zeigt einen Schlüsseleffekt von Serienkondensatoren: Eine höhere Gesamtreaktanz führt zu einem geringeren Wechselstrom.Diese Eigenschaft ist in Schaltungen nützlich, bei denen Steuerstrom und Spannung erforderlich sind, z. B. in der Stromverordnung und der Filteranwendungen.Durch die Erhöhung der Reaktanz helfen Serienkondensatoren, die Leistung und Effizienz der Feinabstimmung in Wechselstromsystemen zu unterstützen.
Das Anschließen von Kondensatoren parallel verändert die Art und Weise, wie sie mit einem Wechselstromkreis interagieren.Anstatt den Stromfluss wie Kondensatoren in Reihe zu begrenzen, erhöht eine parallele Konfiguration die Gesamtkapazität und ermöglicht es mehr Strom.Dieser Effekt ähnelt der Erhöhung der Oberfläche der Kondensatorplatten - mehr Bereich bedeutet eine bessere Ladungspeicherung und einen geringeren Widerstand gegen aktuelle Änderungen.Die gesamte kapazitive Reaktanz folgt dieser Gleichung:

Um dies in Aktion zu sehen, betrachten Sie zwei 10 uF -Kondensatoren, die parallel zu einer 200 -v -60 -Hz -Wechselstromquelle angeschlossen sind.Bei nur einem Kondensator beträgt die Reaktanz 265,4 Ohm und zeichnet 753,4 mA von Strom.Das Hinzufügen eines zweiten 10 uF -Kondensators parallel reduziert die Gesamtreaktanz auf 132,65 Ohm und verdoppelt den Strom effektiv auf 1,51 A.

Dieses Setup verbessert die Kapazität der Stromabwicklung erheblich und macht es ideal für Wechselstromkreise, bei denen ein hoher Stromfluss mit minimalem Spannungsabfall erforderlich ist.Durch die Reduzierung der Reaktanz tragen parallele Kondensatoren zur Verbesserung der Leistungseffizienz und der Gesamtkreisleistung bei, wodurch sie in Anwendungen nützlich sind, die eine stabile und effiziente Energieverteilung erfordern.
In Schaltkreisen, die ausschließlich aus Kondensatoren bestehen, verhält sich die Leistung unterschiedlich als in resistiven oder gemischten Schaltungen.Im Gegensatz zu Widerständen, die elektrische Energie in Wärme umwandeln, speichern und füllen Kondensatoren kontinuierlich Energie, ohne ihn zu lösen.Während jedes Wechselstromzyklus lädt und entlädt ein Kondensator, wobei die Energie hin und her verschoben wird, anstatt ihn zu konsumieren.
Dieses Energieradfahren tritt in vorhersehbaren Phasen auf.Wenn die Wechselstromspannung steigt, speichert der Kondensator Energie in seinem elektrischen Feld.Wenn die Spannung sinkt, wird die gespeicherte Energie wieder in die Schaltung freigesetzt.In einem vollständigen Zyklus ist das Ausgleich dieser Lade- und Entladungsphasen, was zu einer durchschnittlichen Leistung von Null führt.Dies ist in der Leistungswellenform zu sehen, in der positive und negative Energieregionen gleich sind, was bestätigt, dass keine Nettoleistung verloren geht.
Da Kondensatoren Energie ohne signifikante Verluste übertragen, sind sie erforderlich, um die Effizienz in Wechselstromsystemen zu verbessern.Sie helfen dabei, die Spannung zu regulieren und zu stabilisieren, Stromverluste zu reduzieren und die Systemzuverlässigkeit zu verbessern.Diese Eigenschaften machen Kondensatoren, die in Anwendungen wie Leistungsfaktorkorrektur, Energiespeicherung und Spannungsregelung verwendet werden, wenn eine präzise Energiemanagement erforderlich ist.

Abbildung 9. Kondensatoren im Tiefpassfilter
Kondensatoren sind nützlich bei Tiefpassfiltern, die in PCB- und elektronischen Schaltungen häufig verwendet werden, um die Signalfrequenzen zu steuern.Diese Filter lassen niederfrequente Signale durchlaufen, während sie höhere Frequenzen blockieren, wodurch unerwünschte Rauschen und Störungen verhindert werden.Diese Filterung wird erreicht, indem Kondensatoren verwendet werden, um hochfrequente Signale zum Erde umzuleiten und sie effektiv vom Hauptsignalweg zu entfernen.
Die Leistung eines Tiefpassfilters hängt von seiner Grenzfrequenz ab. Der Punkt, an dem der Filter die Hochfrequenzsignale erheblich reduziert.Diese Frequenz wird vom Kondensator und anderen Schaltkomponenten bestimmt und kann basierend auf den Entwurfsanforderungen eingestellt werden.Sie können mathematische Modelle wie Laplace-Transformationen verwenden, um das Verhalten des Filters zu analysieren und den Frequenzgang zu fannen.
Durch die Steuerung, welche Frequenzen durch eine Schaltung gelangen, tragen Kondensatoren dazu bei, die Signalklarheit aufrechtzuerhalten und die Systemleistung zu verbessern.Dies macht sie in Anwendungen wie Audioverarbeitung, Kommunikationssystemen und Stromverordnung riskant, bei denen ein genaues Frequenzmanagement ein Muss ist.

Abbildung 10. Kondensatoren im Hochpassfilter
Hochpassfilter sind so ausgelegt, dass sie DC- und Niederfrequenzsignale blockieren, sodass nur Signale über einer bestimmten Frequenz durchlaufen werden können.Dies wird erreicht, indem ein Kondensator in Serie mit dem Eingangssignal platziert wird.Da Kondensatoren aufgrund ihrer hohen Reaktanz sich niederfrequente Signale widersetzen, können sich nur höhere Frequenzsignale, die eine geringere Reaktanz aufweisen, durch die Schaltung bewegen.
Die Grenzfrequenz ist ein Schlüsselparameter, der definiert, wie der Filter funktioniert.Die Signale unterhalb dieser Schwelle sind signifikant geschwächt, während höhere Frequenzen weitgehend nicht betroffen sind.Dieses Verhalten wird mathematisch unter Verwendung von Gleichungen modelliert, die die kapazitive Reaktanz auf die Häufigkeit beziehen, sodass Sie vorhergesagt haben, wie der Filter unter verschiedenen Bedingungen reagiert.
Aufgrund ihrer Fähigkeit, die Frequenzübertragung genau zu kontrollieren, werden Hochpassfilter in Audiosystemen häufig verwendet, um sicherzustellen, dass hochfrequente Sounds klar und ungelegt bleiben.In Kommunikationsnetzwerken tragen sie dazu bei, die Signalintegrität aufrechtzuerhalten, indem sie unerwünschte niedrigere Frequenzen herausfiltern.Darüber hinaus spielen sie eine wichtige Rolle bei elektronischen Tuning -Anwendungen, bei denen eine genaue Frequenzauswahl ein Muss ist.
In dieser detaillierten Erkundung von Kondensatoren und Widerständen sehen wir, warum das Wissen, wie sie funktionieren, entscheidend für die Gestaltung der Elektronik ist.Widerstände tragen dazu bei, den Stromfluss zu verwalten und zusätzliche Energie in Wärme zu verwandeln, während Kondensatoren die Energie vorübergehend speichern und dabei helfen, die Spannung und den Strom in einer Schaltung zu kontrollieren.Ihre Verwendung in Filtern-Capacitors können sowohl in Tiefpass- als auch in Hochpass-Setups funktionieren-, wie vielseitig und wichtig sie in der Elektronik sind.Egal, ob sie Spannungsstöße glätten oder die Geschwindigkeit elektrischer Signale steuern, Kondensatoren und Widerstände sind riskant, um elektronische Systeme besser und zuverlässiger funktionieren zu lassen.Wenn wir weiterhin die Technologie vorantreiben, bleibt das Verständnis dieser grundlegenden Teile für Innovationen in der Elektronik aktiv.
Kondensatoren in Wechselstromkreisen werden hauptsächlich zur Filterung, Glättung von Spannungsschwankungen und Phasenkorrektur zwischen Spannung und Strom verwendet.Sie helfen dabei, die Reaktivleistung in der Schaltung zu verwalten und die Effizienz zu verbessern.
Ja, ein Wechselstromsystem kann ohne Kondensator ausgeführt werden, aber Kondensatoren werden für bestimmte Funktionen wie die Startinduktionsmotoren oder die Verbesserung des Leistungsfaktors in Schwerlastsystemen verwendet.Ohne Kondensatoren können diese Systeme weniger effizient laufen oder Probleme haben.
Um einen Kondensator in einem Wechselstromkreis anzuschließen, identifizieren Sie die Punkte, an denen Sie entweder eine Spannungsglättung oder eine Phasenkorrektur benötigen.Schließen Sie den Kondensator entweder parallel zu Lasten für die Leistungsfaktorkorrektur oder in Reihe mit den induktiven Komponenten für die Frequenzfilterung an.
Kondensatoren erhöhen nicht von Natur aus die Wechselspannung;Stattdessen können sie Teil von Schaltungen wie Spannungsmultiplikatoren sein, die die Spannung erhöhen.Spannungsmultiplikatoren verwenden Dioden und Kondensatoren, um den Wechselstromeingang in eine höhere Gleichspannung umzuwandeln.
Um die Stabilität und Qualität der Wechselspannung zu verbessern, verwenden Sie Kondensatoren zur Korrektur der Leistungsfaktor, Spannungsregulatoren, um konsistente Werte aufrechtzuerhalten, und um die Spannung an die erforderlichen Werte anzupassen.Stellen Sie außerdem sicher, dass die Stromquellen- und Verteilungsnetzwerke gut gepflegt und für die Last entsprechend bewertet werden.
CAP CER 5.6PF 200V NP0 0402
CAP CER 2.4PF 250V NP0 0805
CAP CER 36PF 100V NP0 0603
SWITCHING REGULATOR
DC DC CONVERTER 48V 200W
IGBT Modules
N-CHANNEL POWER MOSFET
SAB-C165-LMCA SIEMENS
TSH94IYDT ST
AVIA SOP16
AM29LV128ML-123RPCI AMD





