Deutsch
Zeit: 2025/01/26
Durchsuchen: 5,884


Ein Ohmmeter misst den Widerstand durch Anwenden des Ohmschen Gesetzes in einem geschlossenen Kreis.Schlüsselkomponenten sind:
• Amperemeter (g): Verfolgt Strom mit internem Widerstand (RG) und vollwertiger Strom (ICHG).
• Variabler Widerstand (R): Passt die Schaltung auf Null an den Messwert.
• Batterie: Liefert elektromotive Kraft (E)mit innerem Widerstand (R).
Wenn die Sonden des Ohmeters den zu testenden Widerstand kontaktieren (RX), aktuell (ICH) fließt durch die Schaltung.Dieser Strom hängt davon ab (RX)und der Widerstand wird direkt aus dem kalibrierten Zifferblatt gelesen.Seit der Beziehung zwischen (ICH) Und (RX) ist nichtlinear, die Skala ist ungleichmäßig und erfordert eine genaue Interpretation mit zunehmendem Widerstand.
• Mechanische Nullanpassung: Stellen Sie sicher, dass der Zeiger auf der linken Seite der Skala auf Null ruht.Wenn nicht, stellen Sie es mit einem Schraubendreher ein.
• Auswählen des Bereichs: Wählen Sie einen Bereich, der den Zeiger in der Nähe des Zentrums platziert, um eine bessere Genauigkeit zu erhalten.
• Null Kalibrierung: Kurz die Sonden ab, stellen Sie dann den Nullknopf ein, bis der Zeiger mit der Nullmarke ausgerichtet ist.Ersetzen Sie die Batterie, wenn die Einstellung ausfällt.
• Messung übernehmen: Schließen Sie die Sonden an den Widerstand an.Lesen Sie dann direkt, wenn sich der Zeiger in der Nähe der Mitte befindet.Passen Sie den Bereich an und wiederholen Sie dies, wenn sich der Zeiger an den Rändern befindet.
• Nach dem Gebrauch: Stellen Sie den Selektor auf "Aus" oder den höchsten Wechselstromspannungsbereich ein und entfernen Sie die Sonden, um die Batterie zu erhalten.
Die Volt-Ampere-Methode, auch als Volt-Mess- oder Ampere-Messmethode bezeichnet, ist eine gemeinsame Technik zur Messung des Widerstands.Es gilt das Ohmsche Gesetz:

Wo R ist Widerstand, U ist Spannung und ICH ist aktuell.Mit einem Voltmeter und einem Amperemeter wird die Spannung über einen unbekannten Widerstand und den Strom durch sie gemessen und der Widerstand berechnet.Diese Methode ermöglicht eine direkte Widerstandsmessung mit grundlegenden Instrumenten.Es kann auf zwei Arten konfiguriert werden:
• Interne Verbindung: Geeignet zum Messen großer Widerstände.
• Externe Verbindung: Ideal für kleine Widerstände.
• Anschließen der Schaltung.Wählen Sie einen geeigneten Bereich für Voltmeter und Amperemeter.Fügen Sie einen Rheostat ein, um Strom oder Spannung einzustellen.Entscheiden Sie, ob Sie eine Stromlimit- oder Spannungs-Divider-Schaltung verwenden möchten.Wählen Sie entweder eine interne oder externe Verbindung, basierend auf dem zu gemessenen Widerstand.Schließen Sie die Schaltung dann gemäß der ausgewählten Konfiguration an.
• Durchführung der Messung.Passen Sie den Rheostat an, um den Strom oder die Spannung zu variieren.Nehmen Sie dann die Messwerte aus dem Amperemeter und Voltmeter für jede Einstellung auf.
• Verarbeitung der Daten.Methode A: Verwenden Sie die aufgezeichneten (ICH) Und (U) Werte zur Berechnung des Widerstands für jede Lesung.Durchschnitt die Ergebnisse, um den endgültigen Widerstand zu bestimmen.Methode B: Diagramm (U) gegen (ICH) auf Diagrammpapier.Die Steigung der resultierenden Linie repräsentiert den Widerstand (R).
Für genaue Messungen wählen Sie sorgfältig die gleitenden Rheostat- und Instrumentenbereiche aus:
• Verwenden Sie einen Rheostat mit maximalem Widerstand in der Nähe des zu testenden Widerstands, wenn Sie einen Spannungs -Trennerkreis verwenden.
• Stellen Sie sicher, dass die gemessenen Werte den maximalen Bereich des Voltmeteres oder Amperemeters nicht überschreiten, um Schäden zu vermeiden.
• Bleichen Sie den Instrumentenbereich für die Genauigkeit aus.Wenn der Bereich viel höher ist als die tatsächlichen Werte, ist die Zeigerbewegung minimal und erhöht die Lesefehler.
Die Auswahl zwischen Spannungsteiler und Stromlimit-Schaltkreisen hängt von den spezifischen Anforderungen des Messaufsatzes ab.Jeder Schaltungsart hat unterschiedliche Eigenschaften, die ihn für verschiedene Szenarien geeignet machen.

Abbildung 3. Auswahl des Spannungsteilers und der Stromlimitierung
Stromlimitierende Schaltungen sollen den Stromfluss regulieren und sicherstellen, dass sie sowohl für die Messinstrumente als auch für die getesteten Komponenten innerhalb sicherer Grenzen bleiben.Dieser Ansatz ist ideal beim Schutz sensibler Geräte oder wenn eine präzise Stromregelung erforderlich ist, um Schäden zu vermeiden.
Andererseits bieten Spannungsteilerschaltungen eine größere Flexibilität, indem breitere Spannungsanpassungen ermöglicht werden.Dies macht sie besonders nützlich in Situationen, in denen eine kontinuierliche Spannungsanpassung von Null oder wenn der aktuell begrenzende Ansatz zu übermäßigen Werten führt, die die Instrumente oder Komponenten schädigen könnten.Darüber hinaus werden Spannungsteilerschaltungen bevorzugt, wenn der Lastwiderstand signifikant höher ist als der Rheostat, da dies die Datenerfassung vereinfacht und Komplikationen vermeidet, die durch nicht übereinstimmende Widerstandswerte verursacht werden.

Abbildung 4. Konfiguration für interne und externe Schaltung
Externe Verbindungsmethode: Der Voltmeter ist parallel zum Widerstand angeschlossen und misst die Spannung darüber.Der Amperemeter misst jedoch den Gesamtstrom, der sowohl durch den Widerstand als auch den Voltmeter fließt.Da der Voltmeter im Vergleich zum Widerstand einen vernachlässigbaren Strom zeichnet, ist diese Methode ideal für die Messung kleiner Resistenzen.
Interne Verbindungsmethode: Hier ist der Amperemeter in Reihe mit dem Widerstand verbunden und misst den Strom durch ihn.Der Voltmeter misst den kombinierten Spannungsabfall des Widerstands und den Amperemeter.Da der Spannungsabfall über den Amperemeter im Vergleich zum Widerstand gering ist, eignet sich diese Methode zur Messung großer Widerstände.
Die Halb-Bi-Methode verwendet die einzigartigen Eigenschaften von elektrischen Messgeräten, um ihren inneren Widerstand zu messen.Durch Beobachtung von Änderungen der Messwerte unter bestimmten Bedingungen kann der interne Widerstand mit Genauigkeit berechnet werden.Diese Methode wird sowohl auf Ammeter als auch auf Voltmeter angewendet, wobei maßgeschneiderte Setups ihren jeweiligen Eigenschaften entsprechen.

Abbildung 5. Methode zur Halbbestandung der Amperemeter
• Schließen Sie die Schaltung wie im Diagramm angezeigt.
• Schalter öffnen S2 und Schließschalter S1.Widerstand einstellen R1 bis der Amperemeter seine vollständige Lektüre zeigt (ICHM).
• Halten R1 unverändert.Schließen S2 und einstellen R2 Bis der Amperemeter wieder liest ICHM.Den Wert von aufzeichnen R2.
• Wenn R1ist deutlich größer alsRA, der interne Widerstand des Amperemeter (RA) kann angenähert werden als R2.
Um genaue Ergebnisse bei der Amperemeter-Halb-Bias-Methode zu erzielen, ist es wichtig, dies zu gewährleisten ist deutlich größer als .Dieser Zustand minimiert die Störung von Im Messprozess, damit die Schaltung die tatsächlichen Eigenschaften des Innenwiderstands des Amperemeter besser widerspiegelt.
Wenn unter diesen Bedingungen Messungen durchgeführt werden, der interne Widerstand des Amperemeter () kann angenähert werden als , der Wert während des Experiments.In der Praxis, jedoch ist normalerweise etwas weniger als Aufgrund von inhärenten Fehlern im Setup.
Diese Fehler ergeben sich beim Wechsel ist geschlossen.Zu diesem Zeitpunkt nimmt der Gesamtkreiswiderstand ab, was zu einem Strom führt, der den vollwertigen Strom des Amperemeter übersteigt ().Dies zwingt den Amperemeter, in einem halb voreingenommenen Zustand zu operieren, in dem der Strom durch wird höher als der Strom, der durch den Amperemeterzweig fließt.Infolge, unterschätzen Einführung eines konsistenten Messfehlers.Das Verständnis dieser Dynamik ist der Schlüssel zur genauen Interpretation der Ergebnisse und der Ausgleich potenzieller Ungenauigkeiten.

Abbildung 6. Voltmeter Half-Bias-Methode
• Schließen Sie die Schaltung wie im Diagramm angezeigt.
• Satz R2 zu Null und Schließschalter S.Passen Sie den Schiebekontakt ein R1 bis der Voltmeter seine vollständige Lektüre zeigt (UM).
• Halten R1 behoben.Anpassen R2 bis der Voltmeter die Hälfte des vollen Wertes liest (1/2UM).Den Wert von aufzeichnen R2.
• Wenn R1ist viel kleiner alsRVder interne Widerstand des Voltmeter (RV) kann angenähert werden als R2.
Für die Voltmeter-Halb-Bias-Methode zur Erzeugung zuverlässiger Ergebnisse ist es entscheid ist viel kleiner als .Dieser Zustand minimiert den Einfluss von Bei der Messung wird sichergestellt, dass die Schaltungskonfiguration den internen Widerstand des Voltmeters genau widerspiegelt.Durch die Einhaltung dieses Setups wird die Methode bei der Annäherung wirksam .
Unter diesen Bedingungen der interne Widerstand des Voltmeter () ist ungefähr gleich , der Wert während des Experiments.In der Praxis, jedoch ist normalerweise etwas höher als .Diese Diskrepanz entsteht aufgrund des Verhaltens der Schaltung während des Messprozesses.
Als erhöht die Spannung durch und der Voltmeter steigt auch.Wenn der Voltmeter seine vollständige Lesung erreicht ()die Spannung über überschreitet zu einer Überschätzung von von .Trotz dieses Fehlers ist die Methode besonders gut für Voltmeter mit hohem internem Widerstand geeignet, da der Einfluss des Fehlers in solchen Fällen minimiert wird.
In diesem Abschnitt werden erweiterte Techniken zur Resistenzmessung untersucht, wobei sich die Konzentration auf praktische Anwendungen und Präzisions konzentriert.Jede Methode ist für bestimmte Szenarien ausgelegt, in denen maßgeschneiderte Setups und Schaltungskonfigurationen für genaue Ergebnisse genutzt werden.
Die A-A-Methoden A-A (Amperemeter) und V-V (Voltmeter-Voltmeter) messen den internen Widerstand anhand paralleler oder Serienkonfigurationen von Messgeräten.
A-A-Methode (Amperemeter-Differenzmethode)
Die A-A-Methode ist für Schaltungen geeignet, in denen die Amperemeterbereiche ähnlich sind und R0 ist bekannt.

Abbildung 7. Methoden zur Resistenzmessung
Konfiguration a: Zwei Ammeter (A1 und A2) sind parallel angeschlossen.Der interne Widerstand von A1 (R1) oder A2 (R2) wird unter Verwendung der Beziehung berechnet:

Wo Und sind die Ströme gemessen von Und, jeweils.
Konfiguration B: Amperemeter A1 ist parallel mit einem bekannten Widerstand verbunden (R0)und die Kombination ist in Reihe mit A2.Der innere Widerstand von A1 (R1) wird unter Verwendung der Formel bestimmt:

Wo Und die Strömungen durch darstellen durch und der Gesamtstrom.
V-V-Methode (Voltmeter-Differenzmethode)
Die V-V-Methode ist ideal für Voltmeter mit hohen internen Resistenzen, die bereitgestellt werden R0 wird angemessen ausgewählt.Diese Methode verwendet auch zwei Konfigurationen:
Konfiguration C: Zwei Voltmeter (V1 Und V2) sind in Reihe verbunden.Ihre inneren Widerstände ( für Und für ) werden durch die Gleichung verwandt:

Wo Und sind die Spannungen gemessen von Und , jeweils.
Konfiguration D: Voltmeter V1 ist in Reihe mit einem bekannten Widerstand (R0)und die Kombination ist parallel zu V2.Der innere Widerstand von V1 () wird unter Verwendung der Formel berechnet:

Wo ist die Spannung über Und , Und ist die Gesamtspannung, die über die Kombination gemessen wird.
Prinzip
Diese Methode berechnet den unbekannten Widerstand (RX) Verwenden von Serien-Parallel-Schaltungsanalysen und Anwendung des Ohmschen Gesetzes.Es nutzt bekannte Werte innerhalb der Schaltung, um den Widerstand genau zu berechnen.
Experimenteller Setup

Abbildung 8. Formelberechnungsmethode
• RX: Unbekannter Messbeständigkeit.
• R1: Bekannter fester Widerstand.
• R: Schutzwiderstand (unbekannter Wert).
• S1AnwesendS2: Schalter.
• AAA: Amperemeter (angenommen ideal).
Verfahren
• Schalter schließen positionieren Und positionieren .Notieren Sie die aktuelle Lesung aus dem Amperemeter ()
• Schalter wechseln positionieren Und positionieren.Zeichnen Sie die neue aktuelle Lesung auf ().
Berechnung
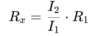
Unter Verwendung des Ohm -Gesetzes den unbekannten Widerstand () wird berechnet als:

Hier, Und sind die Amperemeter -Lesungen und ist der bekannte feste Widerstand.Durch Analyse der Schaltungskonfiguration und Anwendung dieser Formel kann der unbekannte Widerstand genau bestimmt werden.
Diese Methode bestimmt einen unbekannten Widerstand (RX) Durch Vergleich mit einem bekannten Widerstand (R0) durch Substitution und Beobachtung der Reaktion des Stromkreises.Es wird unter Verwendung von zwei Ansätzen durchgeführt: Stromäquivalent -Ersatz und Spannungsäquivalent -Ersatz.
Aktueller äquivalenter Ersatz:

Abbildung 9. äquivalente Strommessung
Erstes Setup: Schließen Sie die Schaltung mit dem Widerstandsbox an (R0) auf seinen Maximalwert einstellen.
Passen Sie den Strom an: Verwenden Sie den gleitenden Rheostat (P) So einstellen (ICH).
Ersetzen und übereinstimmen: Ersetzen Sie den unbekannten Widerstand (Rx) mit R0, und einstellen R0Bis der Amperemeter die gleiche aktuelle Lesung zeigt (ICH) wie zuvor.
Bestimmen Sie den Widerstand: Der Widerstandswert von R0An diesem Punkt ist gleich zu Rx.
Spannungsäquivalent Ersatz:

Abbildung 10. Methode zur äquivalenten Spannungsanpassungsanpassung
Erstes Setup: Konfigurieren Sie die Schaltung mit dem Widerstandsbox (R0) auf seinen Maximalwert einstellen.
Passen Sie die Spannung an: Verwenden Sie den gleitenden Rheostat (P) So stellen Sie den Stromkreis ein, bis der Voltmeter eine bestimmte Spannung liest (U).
Ersetzen und übereinstimmen: Ersetzen Sie den unbekannten Widerstand (Rx) mit R0, Und einstellen R0Bis der Voltmeter wieder dieselbe Spannungslesung zeigt (U).
Bestimmen Sie den Widerstand: Der Widerstandswert von R0An diesem Punkt ist gleich zu RX.
Durch systematisch Ersetzen und Anpassung der Antworten der Schaltung bietet diese Methode eine praktische Möglichkeit, unbekannte Widerstandswerte genau zu messen.Es ist besonders nützlich, wenn direkte Messwerkzeuge nicht verfügbar oder machbar sind.
Prinzip
Ein Brückenkreis misst den Widerstand, indem zwei parallele Zweige ausbalanciert werden.Das Gleichgewicht tritt auf, wenn kein Strom durch das Galvanometer fließt, was gleiche Potentiale über die Brücke hinweist.
Aufstellen

Abbildung 11. Brückenschaltung
• R1,R2: Feste Widerstände im Brückenkreis.
• R3: Variabler Widerstandsbox für Anpassungen.
• RX: Unbekannter Widerstand zu messen.
Verfahren
• Schließen Sie den Brückenkreis mit allen Komponenten in ihren jeweiligen Positionen an.
• Passen Sie den variablen Widerstand an () Bis das Galvanometer keinen Strom zeigt, weist darauf hin, dass die Brücke ausgeglichen ist.
• Wenden Sie den Brückenbilanzzustand an, um den unbekannten Widerstand zu berechnen:
Die Gleichung neu ordnen, um es zu lösen :
Schlüsselnotizen
• Stellen Sie sicher, dass die Schaltung ordnungsgemäß mit Widerständen in Reihe und parallel konfiguriert ist.
• Überprüfen Sie die Brückenbilanz auf genaue Messungen.
Diese Methoden bieten präzise und vielseitige Lösungen für die Resistenzmessung, die auf bestimmte Anwendungen und Bedingungen zugeschnitten sind.Durch die Befolgung ordnungsgemäßer Einrichtungs- und experimenteller Prinzipien können genaue und zuverlässige Ergebnisse erzielt werden.
In diesem Abschnitt werden praktische Techniken erläutert, um verschiedene Widerstandstypen zu testen und genaue Methoden, Vorsichtsmaßnahmen und Tipps zur Fehlerbehebung hervorzuheben.
Um einen festen Widerstand zu testen, verbinden Sie die Multimeter -Sonden (Polarität irrelevant) an jedes Terminal.Wählen Sie einen Bereich in der Nähe des Nennwerts für eine bessere Genauigkeit aus.Ziel für Messwerte in der mittleren Maßstab (20%-80%) für die Präzision, da die Ohmic-Skala nichtlinear ist.Vergleichen Sie den gemessenen Wert mit dem Nennwiderstand und halten Sie je nach Toleranz des Widerstands innerhalb von ± 5%, ± 10%oder ± 20%.Abweichungen außerhalb dieser Grenzen deuten auf Verschlechterung hin.
Vorsichtsmaßnahmen:
• Vermeiden Sie es, die leitenden Teile der Sonden oder des Widerstands zu berühren, insbesondere für hohe Widerstandswerte (> 10 kΩ).
• Entfernen Sie mindestens eine Leitung aus der Schaltung, um Interferenzen durch andere Komponenten zu vermeiden.
• Während Farbcodes eine Richtlinie anbieten, bestätigen Sie den tatsächlichen Widerstand mit einem Multimeter.
Das Verfahren und die Vorsichtsmaßnahmen für Zementwiderstände sind mit festen Widerständen die gleichen.Diese Widerstände sind größer und für hohe Leistung gebaut, folgen jedoch identischen Testschritten.
Die visuelle Inspektion reicht oft aus, um geblasene Sicherungswiderstände zu identifizieren.Eine geschwärzte oder verbrannte Oberfläche zeigt einen übermäßigen Strom an.Ein intaktes Erscheinungsbild kann auf ein geringfügiges Überstromausfall hinweisen.
Testschritte:
• Entlorder ein Ende des Widerstands aus der Schaltung.
• Stellen Sie den Multimeter auf die R × 1Reichweite.
• Messen Sie den Widerstand: Ein unendlicher Messwert bedeutet, dass der Widerstand offen und fehlgeschlagen ist.Eine signifikante Abweichung vom Nominalwert zeigt an, dass er nicht wiederverwendet werden sollte.Selten, kurze Kurzschlusswiderstände;gründlich überprüfen.
Beginnen Sie, indem Sie den Potentiometerknopf drehen.Gewährleisten Sie eine reibungslose Bewegung, ordnungsgemäße Umstellung und keine ungewöhnlichen Geräusche.Hören Sie auf Unregelmäßigkeiten wie „Rascheln“ zu, die Schaden zufügen.
Testschritte:
• Stellen Sie den Multimeter auf den entsprechenden Widerstandsbereich ein.
• Messen Sie zwischen den Klemmen "1" und "2";Die Lesung sollte mit dem nominellen Widerstand übereinstimmen.Ein fester oder falscher Wert gibt Schäden an.
• Überprüfen Sie den beweglichen Arm, indem Sie zwischen "1" und "3" (oder "2" und "3" messen.Drehen Sie den Knopf und beobachten Sie die Widerstandsänderung.Eine allmähliche Abnahme in der Nähe der "Aus" -Position zeigt einen guten Kontakt an.
Raumtemperaturtest:
Messen Sie den Widerstand bei ungefähr 25 ° C.Ein ordnungsgemäß funktionierendes PTC -Thermistor sollte einen Widerstand innerhalb von ± 2 Ω seines Nennwerts haben.
Heizungstest:
Verwenden Sie eine nichtkontakte Wärmequelle (z. B. Eisenlöt), um den Thermistor zu erhitzen.Den Widerstand überwachen;Es sollte mit der Temperatur zunehmen.Keine Änderung zeigt einen fehlerhaften Thermistor an.Vermeiden Sie direkten Kontakt mit der Wärmequelle, um Schäden zu vermeiden.
Raumtemperaturtest:
Messen Sie den Widerstand bei 25 ° C und stellen Sie sicher, dass er dem Nennwert entspricht.
Heizungstest:
• Messen Sie den anfänglichen Widerstand () bei Raumtemperatur.
• Wärme (z. B. mit einem elektrischen Eisen) auftragen und den Widerstand messen () Mit steigender Temperatur.Der Widerstand sollte mit zunehmender Temperatur abnehmen.
Vorsichtsmaßnahmen:
• Vermeiden Sie es, den Thermistor während des Tests zu halten, da die Körperwärme die Messwerte beeinflussen kann.
• Verwenden Sie niedrigen Strom, um thermische Fehler während des Tests zu verhindern.
Stellen Sie den Multimeter auf den 10 -kΩ -Bereich ein und schließen Sie ihn mit den Varistor -Klemmen an.Der Widerstand sollte mit dem Nominalwert übereinstimmen.Höhere Messungen zeigen Schäden an.
Verhalten durch Spannung:
• Bei niedrigen Spannungen: hoher Widerstand (Leckstrombereich).
• Bei moderaten Spannungen: Der Widerstand nimmt signifikant ab (nichtlineare Region).
• Bei Hochspannungen: Varistoren können aufgrund von übermäßigem Strom überhitzen, scheitern oder platzen.
Dunkler Test:Decken Sie das lichtempfindliche Fenster des Photoresistors ab.Der Multimeter sollte einen nahezu unendlichen Widerstand zeigen.Ein niedriger Messwert zeigt Schäden an.
Lichttest:Den Photoresistor dem Licht aussetzen.Der Widerstand sollte erheblich abnehmen.Keine Veränderung deutet auf eine Fehlfunktion hin.
Dynamischer Test: Bewegen Sie ein kleines schwarzes Objekt vor das lichtempfindliche Fenster, während der Photoresistor beleuchtet wird.Der Multimeterzeiger sollte als Reaktion auf Lichtveränderungen schwingen.Keine Bewegung zeigt beschädigtes photoempfindliches Material an.
Der Widerstandsbereich der Komponente spielt eine entscheidende Rolle bei der Auswahl der richtigen Messmethode.Für Werte mit niedrigem Widerstand, wie beispielsweise in Drähten oder Anschlüssen, ist ein Milliohmeter oder die Vier-Draht-Kelvin-Methode ideal.Diese Tools minimieren Fehler, die durch Bleiwiderstand verursacht werden, und liefern genaue Messwerte.Für einen mittleren Widerstand eignet sich ein Multimeter oder ein Ohmmeter gut für allgemeine Anwendungen.Im Gegensatz dazu erfordern hochwiderstandsfähige Werte, wie die in Isolationsmaterialien, einen MegoHMMeter, der speziell für den Umgang mit sehr hoher Resistenz mit Genauigkeit ausgelegt ist.
Das erforderliche Genauigkeitsniveau bestimmt die Messtechnik.Bei Routineprüfungen oder nicht kritischen Messungen ist ein grundlegender Multimeter oder Ohmmeter ausreichend.Bei Aufgaben, die eine höhere Präzision erfordern, wie beispielsweise in Labors oder Qualitätskontrolle, sind Techniken wie die Weizensteinbrücke oder die Volt-Ampere-Methode eine bessere Auswahl.Diese Methoden reduzieren Fehler und sind besonders nützlich, wenn sie mit empfindlichen oder hochwertigen Komponenten arbeiten.
Der Zustand des Schaltkreises - ob angetrieben oder nicht angetrieben - betrifft, wie der Widerstand gemessen wird.Um Störungen durch lebende Ströme zu vermeiden, führen Sie die Schaltung immer vor dem Testen aus.Für lebende Schaltungen, bei denen das Ausschalten unpraktisch ist, kann ein Klemmmessgerät den Widerstand messen, ohne den Stromkreis zu brechen.Bei Testkomponenten, die in einer Schaltung gelötet werden, ist es außerdem wichtig, mindestens einen Anschluss des Widerstands zu trennen, um ungenaue Messwerte zu verhindern, die durch parallele Pfade verursacht werden.
Die spezifische Anwendung beeinflusst auch die Auswahl von Werkzeugen und Techniken.Bei einer schnellen Fehlerbehebung oder Reparaturen ist ein Multimeter vielseitig und einfach zu bedienen.Für detailliertere Komponententests wie Messung der Induktivität und Kapazität neben Widerstand ist ein LCR -Messgerät besser geeignet.In industriellen Umgebungen gewährleisten automatisierte Testsysteme mit Datenprotokollierungsfunktionen konsistente Ergebnisse und Effizienz, insbesondere bei großflächigen Vorgängen oder Vorhersagewartung.
Umgebungsbedingungen wie Temperatur, Luftfeuchtigkeit und Druck können Widerstandsmessungen beeinflussen.Stellen Sie bei kritischen Anwendungen sicher, dass Messungen in einer kontrollierten Umgebung durchgeführt werden oder Tools verwendet werden, die mit Kompensationsmerkmalen ausgestattet sind, um diesen Effekten entgegenzuwirken.Eine ordnungsgemäße Kalibrierung von Instrumenten ist gleichermaßen wichtig, um die Genauigkeit aufrechtzuerhalten, insbesondere wenn über längere Zeiträume eine hohe Präzision erforderlich sind.
Das Messen des Widerstands ist ein wesentlicher Bestandteil der Arbeit mit Schaltungen, unabhängig davon, ob Sie etwas reparieren, Komponenten testen oder ein Projekt erstellen.Werkzeuge wie Ohmmeter, Brückenschaltungen oder die Volt-Ampere-Methode erleichtern es, bei korrekter Verwendung genaue Ergebnisse zu erzielen.Wenn Sie die richtige Methode auswählen und die Schritte sorgfältig befolgen, können Sie Fehler vermeiden und zuverlässige Messungen erzeugen.Mit der Praxis wird das Verständnis des Widerstandes einfach und hilft Ihnen bei sicherer Handlungsaufgabe.
Der Widerstand wird üblicherweise unter Verwendung von Tools wie Ohmmetern gemessen, die direkte Messwerte oder Multimeter liefern, die Widerstand, Spannung und Strommessung in einem Gerät kombinieren.Für genauere Bedürfnisse werden Brückenschaltungen wie die Weizensteinbrücke verwendet, insbesondere in Laboreinstellungen.Zu den erweiterten Setups gehören das Volt-Ampere-Verfahren, das den Widerstand durch Messung von Spannung und Strom in einer Schaltung berechnet, sowie spezielle Geräte wie LCR-Messgeräte für induktive oder kapazitive Komponenten.In der Praxis hängt die Auswahl von den Genauigkeitsanforderungen ab, wobei einfache Geräte wie Ohmmeters für schnelle Überprüfungen und Präzisionsmethoden für kritische Messungen verwendet werden.
Der Widerstand reguliert den Stromfluss in einer Schaltung und beeinflusst direkt die Art und Weise, wie Komponenten arbeiten.Hochwiderstand begrenzt den Strom, der Signale schwächen oder eine Unterperformance in Geräten wie Motoren oder LEDs verursachen kann.Niedriger Widerstand kann dagegen zu Überhitzung oder Schäden führen, indem übermäßiger Strom zugelassen wird.In einem Stromkreis sorgt beispielsweise ein Widerstand sicher, dass empfindliche Komponenten sichere Stromniveaus empfangen und einen Fehler verhindert.Der richtige Widerstandsausgleich ist entscheidend, um die Effizienz zu optimieren und Fehler wie Spannungsabfälle oder Energieabfälle zu verhindern.
Die Beziehung wird durch Ohms Gesetz definiert: R= V/i, wo Widerstand (R) gleich Spannung (V) durch Strom geteilt (ICH).Praktisch bedeutet dies, dass ein zunehmender Widerstand den Strom reduziert, wenn die Spannung konstant bleibt, beispielsweise die Verwendung eines Widerstandes zur Dimem eine LED.Umgekehrt erhöht die Senkung des Widerstands den Strom, was Komponenten überhitzen kann.Spannung, Widerstand und Strom interagieren immer und kontrollieren die anderen und machen diese Beziehung zur Grundlage für die Gestaltung und Fehlerbehebung von Schaltkreisen.
Fehler treten häufig auf einen schlechten Kontakt zwischen Sonden und der Komponente auf und führen falsche Messungen ein.Der parasitäre Widerstand durch Drähte oder Verbindungen kann ebenfalls die Ergebnisse verzerren.Um diese Probleme zu vermeiden, reinigen Sie die Kontakte, halten Sie die Sonden stetig und stellen Sie sicher, dass die Drähte kurz und dick sind, um den Widerstand zu verringern.Ein weiterer Fehler ist die Messung des Widerstandes in einem lebenden Schaltkreis, bei dem Ströme die Messwerte stören.Immer die Stromversorgung vor dem Testen trennen.Schließlich kann die Verwendung des falschen Werkzeugbereichs ungenaue Messwerte ermöglichen - starten Sie einen höheren Bereich und stellen Sie die Präzision ein.
In industriellen Umgebungen verwendet Widerstandstests automatisierte Systeme und Präzisionswerkzeuge, um große oder hohe Genauigkeitsanforderungen zu erfüllen.Beispielsweise wird die Isolationsresistenz in Motoren mit Megohmesmemmetern getestet, um den Abbau zu erkennen, während Produktionslinien LCR -Messgeräte für Qualitätsprüfungen für Komponenten verwenden.Operatoren integrieren häufig Widerstandstests in automatisierte Workflows, um konsistente Ergebnisse zu gewährleisten und menschliche Fehler zu verringern.Daten aus Tests werden protokolliert, um Trends zu überwachen und die Vorhersagewartung zu ermöglichen.Zu den Verfahren gehören typischerweise strenge Kalibrierung, Umgebungskontrolle (z. B. die Vermeidung von hoher Luftfeuchtigkeit) und die Einhaltung von Sicherheitsprotokollen während des Tests.
CAP CER 0.15UF 25V X7R 0603
CAP CER 43PF 100V NP0 0603
DIODE ZENER 13V 500MW SOD123
IC FPGA 475 I/O 672FBGA
IC SRAM 9MBIT PARALLEL 100TQFP
GAL22V10B-15LJ LATTICE
FM1182E-BE FORTEME
EC15202B ECHELON
INA332IDGKR TexasIns
ATMXT224-CCU-2R0 ATMEL
ICS950220BF ICS
SAA6713HV1 PHIL
SEMIKRON New



