Deutsch
Zeit: 2024/12/31
Durchsuchen: 3,697

Ein Instrumentierungsverstärker ist eine Art integrierter Schaltkreis (IC), die hauptsächlich zur Verstärkung der Signale mit Genauigkeit entwickelt wurden.Als Mitglied der Differentialverstärkerfamilie zeichnet sie sich bei der Verstärkung der Differenz zwischen zwei Eingangssignalen aus und unterdrückt gleichzeitig unerwünschtes Rauschen mit dem Common-Mode.Das Design dreht sich um das Reduzieren von überschüssigem Rauschen, das das Signal ansonsten abbauen kann, was es zu einer bevorzugten Wahl für die Präzisionsmessung und die elektronische Instrumentierung macht.
Eines seiner definierenden Merkmale ist das hohe Common-Mode-Abstoßungsverhältnis (CMRR), der während des Betriebs die Rauschimmunität gewährleistet.Mit Merkmalen wie einem hohen Open-Loop-Verstärkung, niedrigen Drift, niedrigem DC-Versatz und hervorragender Stabilität sind Instrumentierungsverstärker ein wesentlicher Bestandteil von Schaltkreisen, die Genauigkeit und Zuverlässigkeit in verschiedenen Umgebungen fordern.
Der instrumentierende Verstärker, der unter Verwendung von operativen Verstärkern (OP-AMPs) erstellt wurde, besteht aus drei Op-Ampere, die zusammenarbeiten.Op-Ampere 1 und 2 wirken als nicht invertierende Verstärker, während Op-Amper 3 als Differentialverstärker fungiert.Zusammen erstellen diese OP-Ampern eine Konfiguration, die die Differentialeingangssignale verstärkt und gleichzeitig die Signale des Common-Mode ablehnt.Die Ausgangsspannung des Instrumentierungsverstärkers, Vauswird durch die amplifizierte Differenz zwischen den Eingangssignalen bestimmt, die auf die Eingangsanschlüsse von Op-Amp angelegt wurden. Wenn die Ausgänge von Op-Amp 1 und Op-Amp 2 2 sind VO1 Und VO2Die Ausgangsspannung kann ausgedrückt werden als:


Abbildung 2. Instrumentierungsverstärkerschaltung mit drei Op-Amps
In diesem Setup spielt die Eingangsphase des Instrumentierungsverstärkers eine entscheidende Rolle, wie in der folgenden Ableitung dargestellt.
Am Knoten ADas Potential ist die Eingangsspannung V1.Nach dem virtuellen kurzen Prinzip die Spannung am Knoten B ist auch V1, was das Potenzial beim Knoten ausschöpft G gleich V1 sowie.Ebenso am Knoten Ddas Potenzial ist V2und nach dem gleichen Prinzip die Spannung am Knoten C Ist V2das Potenzial beim Knoten ausschöpfen H gleich V2.

Abbildung 3. Eingangsstufe des Instrumentierungsverstärkers
Idealerweise ist in der Eingangsphase des Instrumentierungsverstärkers der in die Op-Amps fließende Strom Null.Daher der Strom ICH durch Widerstände R1, Rgewinnen, Und R1 bleibt konstant.Anwendung des Ohm -Gesetzes zwischen Knoten E Und F, die jetzige ICH kann ausgedrückt werden als:

Da kein Strom in den Eingang von Op-Amps 1 und 2 fließt, der gleiche Strom ICH fließt zwischen Knoten G Und H , was geschrieben werden kann wie:

Gleichzeitige Gleichungen (1) und (2) erhalten wir:

Weiter vereinfachen:

Der durch Op-Amper 3 dargestellte Differentialverstärker liefert die Ausgangsspannung Vaus als:

Ersetzen des Ausdrucks durch VO1- vO2 Aus Gleichung (3) in die obige Gleichung erhalten wir:

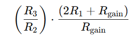
Diese endgültige Gleichung definiert die Ausgangsspannung des Instrumentierungsverstärkers.Der Begriff:

Instrumentenverstärker sind sehr zuverlässige Geräte für Anwendungen, die außergewöhnliche Genauigkeit und Stabilität erfordern.Sie bieten mit hohem, dC-gekoppelten Ausgängen und Verwaltung von Differentialeingängen und Ein-Endausgängen.Zu ihren kritischen Merkmalen gehören eine hohe Eingangsimpedanz, eine hervorragende Abstoßung für den Common-Mode, ein geringes Rauschen, ein minimales Linearitätsfehler und eine geringe Offset-Spannung.Diese Attribute in Kombination mit einem niedrigen Eingangsvorspannungsstrom und dem minimalen Offset -Strom machen sie in Präzisionsmesssystemen unverzichtbar, bei denen die Signalintegrität von größter Bedeutung ist.
Instrumentierungsverstärker sind speziell so konzipiert, dass sie gemeinsame Modussignale wie Rauschen oder elektromagnetische Interferenzen (EMI) ablehnen und gleichzeitig unterschiedliche Signale amplifizieren, bei denen die Eingangspotentiale variieren.Dies ist für Szenarien mit differentiellen Szenarien auf Mikrovoltebene von wesentlicher Bedeutung, die durch gemeinsames Mode-Rauschen kontaminiert sind und mehrere Volt umfassen können.Bei typischen CMRR-Werten zwischen 70 und 100 dB gewährleisten diese Verstärker eine präzise Signaltreue, insbesondere in verrückten Umgebungen wie medizinischer Diagnostik oder industrieller Automatisierung, in denen sie sich bei der Echtzeitüberwachung übertreffen.
Der Linearitätsfehler eines Instrumentierungsverstärkers spiegelt die Abweichung zwischen seiner tatsächlichen Ausgabe und der idealen linearen Reaktion wider.Hochleistungs-Instrumentierungsverstärker erzielen extrem niedrige Linearitätsfehler, oft nur 0,01%, wobei einige außergewöhnliche 0,0001%erreichen.Diese Genauigkeit ist bei Anwendungen wie seismischer Überwachung und biomedizinischer Instrumentierung von entscheidender Bedeutung, um selbst bei schwankenden Betriebsbedingungen verzerrungsfreie und wiederholbare Messungen zu gewährleisten, wodurch die Integrität empfindlicher Signale aufrechterhalten wird.
Mit Eingangsimpedanzwerten, die typischerweise von 10 reichen9 bis 1012 Ohm, Instrumentenverstärker sorgen für minimale Stromauszeichnung aus der Signalquelle und erhalten die Signalstärke und -genauigkeit.Ihr Design ermöglicht eine präzise Übereinstimmung zwischen Eingangsklemmen und reduziert Fehler, die durch Impedanz -Ungleichgewicht verursacht werden.Dies ist kritisch, wenn Sie mit empfindlichen Wandlern wie Thermoelementen oder Dehnungsmessgeräten zusammenfassen, wobei jeder Belastungseffekt die Signalintegrität beeinträchtigen kann, um eine nahtlose und genaue Signalverarbeitung während der Operationen zu gewährleisten.
Instrumentenverstärker arbeiten in verrückten Umgebungen effektiv, indem es niedrige Geräuschpegel aufrechterhält.Für Signale bei Frequenzen um 1 kHz liegt das auf den Eingang genannte Rauschen typischerweise unter 10 nv/√Hz, um ein hohes Signal-Rausch-Verhältnis (SNR) zu gewährleisten.Diese geringe Rauschleistung ist bei Anwendungen wie Audiosignalverarbeitung oder medizinischer Überwachung von entscheidender Bedeutung, wobei die Aufrechterhaltung klarer und zuverlässiger Signalausgänge für eine genaue Analyse und Betriebseffizienz von wesentlicher Bedeutung ist.
Niedrige Offset-Spannung und minimale Drift sind kritische Faktoren, um eine langfristige Stabilität und Genauigkeit der Instrumentenverstärker zu gewährleisten.Typische Spannungen für Eingangsversatzspannungen liegen bei etwa 100 µV, wobei die Ausgangsversetzungswerte nahe 2 mV.Diese stabilen Parameter minimieren die Notwendigkeit einer Neukalibrierung, insbesondere bei Anwendungen wie Umweltüberwachung oder Langzeitdatenerfassung.Das hohe Integrationsniveau in diesen Verstärkern verringert die Komplexität des Schaltungsdesigns und macht sie effizienter und zuverlässiger für Präzisionsanwendungen, die konsistente und stabile Ausgaben erfordern.
Operative Verstärker (OP-Ampere) und Instrumentenverstärker sind grundlegende Komponenten in der Elektronik, die jeweils bestimmte Rollen erfüllen.Während sie einige Ähnlichkeiten in ihrem Grundbetrieb aufweisen, sind ihre Unterschiede signifikant und kritisch für die Auswahl des richtigen Geräts in verschiedenen Anwendungen.Die Unterscheidungen zwischen den beiden sind nachstehend detailliert:
Operationelle Verstärker sind allgemeine, sehr vielseitige integrierte Schaltkreise.Sie werden als aktive Verstärker eingestuft und sind die Bausteine für eine Vielzahl von analogen Signalverarbeitungsfunktionen, einschließlich Signalverstärkung, Filterung, Integration, Differenzierung und mathematischer Operationen.Ihre Flexibilität ermöglicht es Ingenieuren, sie für verschiedene Aufgaben zu konfigurieren, indem externe passive Komponenten kombiniert werden.OP-AMPS übertrifft Anwendungen wie Audioverarbeitung, Signalkonditionierung und analoge Berechnung.Ihre Leistung in der differentiellen Signalbehandlung ist jedoch durch Faktoren wie moderate CMRR und Empfindlichkeit gegenüber externen Widerstandstoleranzen begrenzt.
Instrumentenverstärker sind ein spezialisierter Typ des Differentialverstärkers, der explizit für Präzisionsmessanwendungen ausgelegt ist.Sie verstärken kleine differentielle Signale und lehnen große Common-Mode-Signale ab, wodurch sie in rauschempfindlichen Umgebungen unverzichtbar sind.Diese Fähigkeit ist in Szenarien wie medizinischer Überwachung, Messungen der Dehnungsmessgeräte oder der Temperaturerfassung von entscheidender Bedeutung, bei denen die Signalgenauigkeit und die Rauschimmunität von größter Bedeutung sind.Der operative Vorteil von Instrumentierungsverstärkern liegt in ihrer Fähigkeit, die Leistung unter lauten Bedingungen aufrechtzuerhalten, die häufig in industriellen und medizinischen Anwendungen auftreten.Ihr internes Design sorgt für einen stabilen Betrieb, selbst in herausfordernden Umgebungen.
Instrumentenverstärker werden typischerweise unter Verwendung von drei operativen Verstärkern konstruiert.Diese Konfiguration ist so konstruiert, dass sie erreicht werden:
• Hohe Eingangsimpedanz: verhindert Belastungseffekte und bewahrt die Signalintegrität.
• Hoher CMRR: Verbessert die Geräuschabstoßungsfähigkeiten.
• Genauige Verstärkungsregelung: Vereinfacht Gewinnanpassungen, ohne andere Parameter zu beeinflussen.
Diese Drei-Op-Ampere-Architektur ist besonders vorteilhaft bei der Arbeit mit Signalen auf niedrigem Niveau, da sie eine genaue Verstärkung gewährleistet und Geräuschstörungen minimiert.Umgekehrt kann ein Standarddifferentialverstärker mit einem einzigen operativen Verstärker erstellt werden.Diese Konfiguration ist zwar einfacher, hat jedoch häufig unter reduzierten Leistungsmetriken wie niedrigerer CMRR und erhöhter Empfindlichkeit gegenüber Widerstandsfehlanpassungen.Diese Einschränkungen machen sie für Anwendungen, die eine hohe Genauigkeit fordern, weniger geeignet.
Bei Differentialverstärkern hängt die Ausgangsspannung stark von der Übereinstimmung von Widerständen innerhalb des Stromkreises ab.Jede Nichtübereinstimmung kann erhebliche Fehler verursachen und die Genauigkeit des amplifizierten Signals abbauen.Diese Abhängigkeit von präziser Widerstandsanpassung macht Design und Wartung schwieriger, insbesondere bei hochpräzisen Aufgaben.Instrumentierungsverstärker befassen sich mit dieser Einschränkung, indem sie mit einem einzigen Gewinn-Setting-Widerstand den Gewinn in ihrer Primärstufe erzielen.Dieses Design beseitigt die Notwendigkeit von eng übereinstimmenden Widerständen und verringert den Einfluss von Widerstandsfehlanpassungen auf die Gesamtleistung.Infolgedessen vereinfachen Instrumentierungsverstärker die Entwurfsüberlegungen und liefern gleichzeitig überlegene Genauigkeit und Konsistenz.
Instrumentenverstärker sind kritische Komponenten in Anwendungen, die eine hohe Präzision, Stabilität und Immunität gegen Rauschen erfordern.Ihre Fähigkeit, eine genaue Differenzgewinnung zu liefern, auch unter herausfordernden Bedingungen mit großen Common-Mode-Signalen und erheblichen elektrischen Rauschen, macht sie in verschiedenen Feldern unverzichtbar.Im Folgenden finden Sie wichtige Anwendungen, die mit praktischen Einsichten in ihre Operationen detailliert sind:
Datenerfassung von kleinen Ausgangswandlern
Instrumentierungsverstärker sind häufig eingesetzt, um Signale von Veränderern mit niedrigem Ausgang wie Thermoelementen, Dehnungsmessgeräten und Weizensteinbrückenschaltungen zu verarbeiten.Diese Geräte erzeugen typischerweise schwache Signale, die eine präzise Verstärkung mit minimaler Verzerrung oder Rauschinterferenz erfordern.
Anwendungen in Navigation, Pharmazeutika und Radarsystemen
Die Präzision und Zuverlässigkeit von Instrumentierungsverstärkern macht sie für die Verwendung in kritischen Anwendungen wie Navigationssystemen, pharmazeutischen Instrumenten und Radartechnologie geeignet.Diese Systeme umfassen komplexe und empfindliche Signalverarbeitungsaufgaben, die eine hohe Genauigkeit und Rauschimmunität erfordern.
Audiosignalverarbeitung
Instrumentierungsverstärker werden verwendet, um Audiosignale mit niedriger Amplitude zu verstärken, wodurch das Verhältnis von Signal-Rausch-Verhältnis (S/N) signifikant verbessert wird.Dies macht sie für professionelle Audiogeräte, Hörgeräte und Aufzeichnungssysteme unerlässlich.
Hochgeschwindigkeitssignalkonditionierung
Für Bildgebungs- und Videodatenerfassungssysteme spielen Instrumentenverstärker eine entscheidende Rolle bei der Hochgeschwindigkeitssignalkonditionierung.Ihre Fähigkeit, sich schnell verändernde Signale mit minimaler Verzerrung zu bewältigen, sorgt für eine genaue Bild- oder Videoaufnahme.
Hochfrequenzsignalverstärkung in HF-Netzwerken
In Kabelnetzwerken der Funkfrequenz (RF) werden Instrumentenverstärker verwendet, um Hochfrequenzsignale zu verstärken.Ihre Präzisions- und geringen Rauscheigenschaften sorgen für eine effiziente Signalübertragung und einen minimalen Abbau über große Entfernungen.
Instrumentenverstärker sind in der modernen Elektronik für ihre Präzision, Zuverlässigkeit und Vielseitigkeit von entscheidender Bedeutung.Sie verstärken kleine Signale und lehnen das Geräusch ab und machen sie für die medizinische Überwachung, die Datenerfassung und die Hochgeschwindigkeitsverarbeitung wesentlich.Mit ausgezeichneter Geräuschimmunität und langfristiger Stabilität treten sie in herausfordernden Umgebungen konsequent ab.Von Audiosystemen bis hin zur industriellen Automatisierung vereinfacht ihr robustes Design die Aufgaben und sorgt für genaue Ergebnisse, was sie zu einem Eckpfeiler in fortschrittlichen Technologien macht.
Es wird durchgeführt, indem die Spannungsdifferenz zwischen zwei Eingangssignalen verstärkt wird, während beide Eingänge wie Rauschen oder Interferenzen üblich sind.
Zu den wichtigsten Merkmalen gehören eine hohe Eingangsimpedanz, ein hohes Abstoßungsverhältnis (COMMODE-Abstoßungsverhältnis), ein niedriges Rauschen, eine geringe Versatzspannung, niedrige Drift und eine hervorragende Stabilität.
Mit CMRR oder dem Abstoßungsverhältnis von Common-Mode können der Verstärker Rauschen oder Interferenzsignale ablehnen, die bei beiden Eingängen gemeinsam sind, und sicherzustellen, dass der verstärkte Ausgang frei von unerwünschtem Rauschen ist.
Eine hohe Eingangsimpedanz verhindert, dass der Verstärker einen signifikanten Strom aus der Signalquelle zeichnet, die Signalintegrität bewahrt und Belastungseffekte vermeidet.
Die Verstärkung wird typischerweise unter Verwendung eines einzelnen Widerstands gesteuert, der als Verstärkungswiderstand bezeichnet wird und so einfach die Einstellung ohne Beeinflussung anderer Parameter einzustellen.
CAP CER 0.68UF 50V Y5V 1206
IC DAC 10BIT 16FLIPCHIP
IC MCU 32BIT 128KB FLASH 112BGA
IC OPAMP GP 1 CIRCUIT 8SOIC
IC BUFFER NON-INVERT 2.7V 6DSBGA
IC TRANSCEIVER FULL 48LQFP
DC DC CONVERTER 3.3V 17W
IGBT Modules
HYNIX TSSOP
K4S280832I-UI75 SAMSUNG
S3F8S45XZZ-QZ85 IXYS/SAMS
LUCENT QFP
XICOR PLCC




